心情声学的推敲都是从测验起源的。通过侦查人对声响中某种胀舞(stimuli)的相应(response)来总结出一套秩序
心情声学的推敲都是从测验起源的。通过侦查人对声响中某种胀舞(stimuli)的相应(response)来总结出一套秩序。现阶段斗劲成熟的心情声学参数推敲首要有响度、犀利度、讲话显露度等等。然则看待极少特别丰富的参数,譬喻声品德,照样难以只用一个通用公式就表达出来。由于因为工况或者受众的差异,会存正在很大的变数。是以只可通过大批的测验推敲,总结出合用于该工况/受众的秩序。打算测验的要害正在于打算评议方式,此中最丰富也是最首要的局部是若何采选相宜的评议方式。测验包括三个首要元素:胀舞(stimuli,即声源)、胀舞的性子(譬喻强度、写意度等),以及相应(response)。
顾名思义,便是将测试对象两两分组并实行斗劲。大凡每一次斗劲都只针应付测声响的某一性子子(譬喻强度、显露度等等)。测试者必要依据提示正在这两个声响中做出采选,有时期也恐怕会供给A=B的选项,即代表A音和B音的性子难以辨别。良众时期大师都不会操纵A=B这个选项,这就会带来一个影响[1]:假设一,有两个喜爱全部相反的群体,结尾的结果是一半人选A一半人选B;假设二,A和B相差不大,测试者都随机采选,结尾的结果也差不众一半人选A,一半人选B。这两种全部不雷同的境况结尾的结果却是雷同的。同时Parizet[2]也正在推敲中浮现,倘若正在历程中操纵强制采选的话也低浸结尾结果的牢靠性。
正在评议一个声响的未知属性时,成对照较法是一个很是相宜的器械。一方面两个声响实行直接斗劲很是简略,测试者无需原委良众测试,结果的牢靠性斗劲高;另一方面,正在打算测验的时期也不必要事先界说好评议量级,由于未知属性的量级往往是不太好界说的。
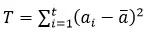
成对照较法又有一个甜头,便是可能剔除极少不稳固测试者的结果。比如有ABC三个声响,测试者甲结尾给出的结果为A>B,B>C,C>A,结果组成了一个环,咱们称之为circular traids,也便是该结果中存正在circular error。Parizet[3]供给的管理方式是,揣度每个测试者的稳固性参数(coefficient of consistence)。

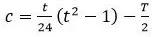
此中该测试者c为闪现circular traids的数目,t为胀舞音的数目,。当这个参数小于必然的极限值的时期,就占定这个测试者的结果不牢靠,正在结尾的统计结果中将这个测试者剔除。
![]()
![]()
当然成对照较法自己也是有瑕疵的。最先,倘若测试对象良众,测试历程会很是长。其次,成对照较法供给的结果惟有排序,没有切确的打分,这对之后metric的打算恐怕会形成必然的影响。倘若必要将简略的排名转换为特别切确的打分,现阶段首要通过Bradley-Terry-Luce模子[4]或者Thurstone模子[5]实行转换,然则这两种模子也都是创立正在必然假设条件之下的。Thurstone模子就假设数据是按正态分散的,而Bardley-Terry-Luce模子则假设数据呈logistic分散。倘若测试对象中对照属性很是低(切近于0)或者很是高(切近于无穷),那么操纵上述转换方式就会形成不正确的结果了。
Ranking 排序法将一组声响服从某性子子(声响品德等)实行排序,和成对照较法雷同,排序法给出的结果也惟有排序,没有全部的打分,而且现阶段也没有很好的模子将排序结果转换为得分。排序法是最简略也是耗时最短的一种评审方式,但结果的参考代价也最低。倘若同时实行排序的样本数越众,排序的难度也就越大。耳朵的应声回忆岁月大凡为5-10秒,于是当听到后面的样本时,很有恐怕一经遗忘前面样本的感触了。是以正在采选对照样本数目的时期,必要依据评审的难易水准以及评审员的体会来采选相宜的样本数,如许才华担保评审结果的正确性。Category Scaling 品级评分法即将声响的某性子子的强弱分为固定的几个品级,而且给每个品级付与文字界说,结尾评分者正在这些品级中实行采选。大凡来讲这些品级都是等距划分的,譬喻评议一个声响的响度,咱们可能服从“无法感知->很是安详->安详->中等->响->很是响->非常响”这几个品级来划分。这种方式的行使相当广博,由于一方面临于评测者来讲斗劲好操作,全面的选项都有文字的说明,观点斗劲显露;另一方面,该测试可能直接返回打分的结果,譬喻服从品级的划分分数离别为1->n,看待数据的后惩罚来说也斗劲便当。当然,法无完法,差异声响的性子不等距分散,以及不屈等级之间的全部划分等,都是该方式存正在的题目。看待标度的选用,有双极(Bipolar)和单极(Unipolar)之分[6]。顾名思义,双极标度有两个顶点,比如刻画声响的响度时,可能掩盖到极响->极静;单极用于描摹某种性子的单边水准若何,比如一段声响的安详水准,可能从很是安详->全部担心静。正在采选标度的时期,最先要看该性子是否具有南北极性,若有南北极性,则可能采选双极标度以很好地反应作声响该性子的趋向以及水准若何;倘若该性子有自然0点存正在的话,譬喻可听度,全部听不到便是自然0点,此时就可能操纵单极标度了。现阶段有极少性子的标度一经被规范化了,如VDI 2563的车辆内部噪声分极,以及ISO 15666的境况噪声强度划极,或者是DIN 16832看待强度评级的划分等等。跟着推敲的深化,这些预订义划极将会越来越众,也会为声品德开荒推敲职员供给更众有代价的参考。Semantic Differential 语义细分法
04、首要由一组子性子构成,将某个感风趣的性子拆分为与之恐怕闭连的子性子,设定好这些子性子的标度(大凡为bipolar),随后测评者对这些子性子实行打分,结尾从这些打分结果中寻得闭连性较强的子性子,相当于将几组Category Scaling连合正在一块。该方式斗劲合用于声品德参数的打算开荒。

该方式实践上一经不属于评测闭键了,更众的是对评测者音信的采集,如岁数、性别或者就业范围等。差异的群体对声响的感触和需求也是不雷同的,譬喻年青人看待车恐怕更可爱有激情极少的声响,而年长极少的恐怕特别重视于声响的写意性。通过Interview闭键采集评测者的音信,然后再将他们实行分组,结尾将差异组的结果实行孤单惩罚。

以上几种方式城市被操纵到,此中成对照较法和语义细分法被操纵得最为广博。正在实践的行使中可能采用众种方式相连合,譬喻先操纵成对照较法,供给一个斗劲稳固的排序相闭,然后操纵语义细分法,对其切确得分实行填充。[1] Johansson, A.C., Hammer, P., Nilsson, E. (2001). Aspects on three methods for paired comparison listening tests, ICA 2001, Proceedings, Rome, Italy.[2] Parizet, E., Hamzaoui, N., Sabatié, G. (2005). Comparison of some listening test methods: A case study, Acta Acustica united with Acustica, Vol. 91 (2), 356-364.[3] Parizet, E. (2002) Paired Comparison Listening and Circular Error Rates. Acta Acustica united with Acustica.[4] Luce, R.D. (1959). Individual choice behavior: A theoretical analysis.[5] Yhurstone, L.L. (1927). A law of comparative judgement, Psychological Review, Vol. 34, 273-286.[6] Fiebig, A. (2015). Cognitive Stimulus Integration in the Context of Auditory Sensations and Sound Perceptions.海德声科(HEAD acoustics China)是环球领先的声学管理计划及声响与振动领会范围供应商HEAD acoustics GmbH正在中国设立的子公司。HEAD acoustics依靠其正在声学范围的专业性和闭连软硬件研发的前驱身分,正在NVH、声学和语音音频质料的衡量、领会和优化范围广受夸奖。其产物和任职广博用于汽车、电信,IT开发、办公用品和家电行业的筑筑商和推敲机构,以及正在声响环保范围的企业与院所等。
汽车测试网-开创于2008年,报道汽车测试本领与产物、趋向、动态等 干系邮箱 marketing#auto-testing.net (把#改成@)
微信扫一扫打赏
支付宝扫一扫打赏
