车辆动力学本能拓荒流程中,依照产物定位、商场需求、竞品发扬、品牌DNA举行整车本能方向设定,以此为依照拓荒具有逐鹿力车型。整车本能行动整车各个别例集成后的总体发扬,由于干系体例变量太众,正在拓荒流程中很难直接行动打算方向指挥部件级别构造及弹性件参数打算优化,是以必需有理会再归纳流程。目标理会即用简易有物理旨趣的表面公式干系整车目标与总成目标,进一步诠释为界说量化的车辆动力学本能目标并确定抵达此方向所需的体例特色目标,包含前后悬架K&C特色、轮胎六分力特色。简易说目标理会输入为整车本能目标、整车与非簧载质料特色,输出为悬架K&C特色与轮胎六分力特色。理会后的前后悬架K&C目标能够行动悬架硬点和弹性件优化发端方向,轮胎六分力特色能够行动轮胎立室拓荒的发端输入。闭头的整车本能方向包含不够转向度、转向智慧度、侧倾梯度、对象盘力矩梯度、响适时间和最大侧向加快率,要达成这些本能方向的理会,需创造相应的理会模子。细致刻画车辆的动力学特色需求创造较为杂乱的车辆模子,正在某一车速下,以对象盘转角行动输入,审核车辆的侧向加快率、横摆角速率等运动量的瞬态及稳态特色,为抵达较为正确的模仿阐发结果,还需研讨车辆的种种非线性特色,如轮胎力的强非线性等。常用的车辆动力学模子,如ADAMS或CarSim模子,因为其自正在度太众,模子过于杂乱,固然阐发精度较高,然而杂乱的输入输出相干使得车辆体例的理会归纳变得难以达成。其余,本能方向的理会职业正在正向拓荒中爆发正在车辆拓荒初期,此时所能取得的筑模参数较少,体例的整个构造参数尚未全体确定,难以举行细致筑模。综上,用于本能目标理会的模子应采用基于体例特色简化自正在度的筑模措施,模子应尽或者简练。正在包管模子适用性的条件下,采用尽或者少的筑模参数,且模子物理旨趣鲜明,能创造起体例特色目标与车辆本能参数的鲜明对应相干,与实测值比拟精度抵达70%,能够指挥体例特色方向确定。正在操稳转向本能目标中,不够转向度与转向智慧度、响适时间、谐振频率目标干系,是横向动力学中的主旨目标,是以本文中心先容不够转向度理会。
侧偏柔度(Cornering Compliance)为1g侧向加快率对应侧偏角改变量,是横向动力学中最紧要的观点。将悬架K&C特色中运动学与弹性运动学前束、外倾通过轮胎六分力特色等效为轴侧偏柔度分量称为等效侧偏柔度。车辆侧向动力学本能重要取决于轮胎力和力矩,而轮胎力的爆发重要是因为轮胎的侧偏及外倾景色。为创造车辆侧向稳态运动的重要特色,本文采用等效侧偏柔度的措施举行筑模,其措施是渺视侧向加快率及横摆角速率以外的其它自正在度的惯性和阻尼,但研讨它们运动的静态耦合效应。整个来说,即是把其它自正在度对车轮定位参数的影响通过静力均衡道理耦合到轮胎侧偏角中,此时车轮侧偏角不但蕴涵轮胎弹性惹起的侧偏,况且归纳了侧向力转向、侧向力外倾、车轮侧倾转向和侧倾外倾等表1中悬架K&C特色惹起的侧偏。如图1及图2所示,车轮正在跳动及正在受力流程中,会爆发轮辋偏转,爆发定位参数改变从而会惹起轮胎侧偏角的改变。采用等效侧偏柔度的筑模措施,能够研讨其它自正在度静力耦合的影响,况且须要时能够通过线性化处置近似地处置非线性症结的影响,是以能餍足工程策画所需精度。它既可用来对现有K&C目标及轮胎特色举行工程估算也可为轮胎、K&C特色确定优化界限,省略细致数据阶段正确策画的职业量。同时,该筑模措施参量聚集,重要冲突非常,构造身分和本能的相干鲜明,是以适适用于本能目标理会。本模子的输入为不够转向度、整车及非簧载质料特色,输出为前、后悬架K&C特色和轮胎六分力特色。

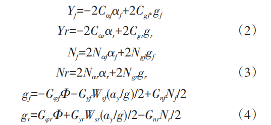
模子合用于车辆正在线性区且纵向加快率较小的稳态工况,渺视纵向力的影响。依照以上假设,将车辆模子举行得当简化,研讨悬架K&C特色关于轮胎侧偏角及外倾角的影响,如图3所示。由力和力矩的均衡相干,可得:


式中,Yf、Yr为车辆前后轴的侧向力,Nf、Nr为前后轴的力矩,W 为整车质料,a、b 为车辆质心距前后轴的隔断,ay为侧向加快率。

式中,Cαf、Cαr前后轴轮胎侧偏刚度,αf、αr为前后轮胎侧偏角,Cgf、Cgr为前后轴轮胎外倾刚度,gf、gr为前轮外倾角;Nαf、Nαr为前后轴回正力矩侧偏刚度,Ngf、Ngr为前后轴回正力矩外倾刚度;Gφf、Gφr为前后悬架侧倾外倾系数,Φ为车身侧倾角,Gyf、Gyr为前后悬架侧向力外倾系数;Wsf、Wsr为前后轴簧载质料,Gnf、Gnr为前、后轴回正力矩外倾系数。

正在筑模流程中,假定簧上质料的运动侧倾核心与基于力的侧倾核心互相重合,从而簧上质料相关于簧下质料的运动核心与传力核心相仿。簧下质料的力通过弹簧及悬架杆件传达至簧上质料,渺视悬架搭钮爆发的力矩影响,则悬架杆件传达的力通过侧倾核心,如图4所示。
式中,δφ为簧上质料侧倾角虚位移,δγ为车轮外倾角虚位移,δγ/δφ为悬架的侧倾外倾系数,Wu为簧下质料,Hu为簧下质料的质心高度。
![]()
车辆正在转弯流程中,簧上质料的侧倾会惹起表里侧车轮的载荷迁移,载荷的迁移会惹起车轴等效侧偏刚度的低落,进而影响车辆的不够转向特色,于是车辆正在转弯流程中的载荷迁移特色是对比紧要的本能方向。
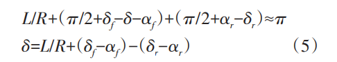
不够转向度是底盘本能最紧要目标之一,影响不够转向度的身分包含轴荷、轮胎特色及悬架K&C特 性,是以将不够转向度目标理会至轮胎及悬架特色能够达成正向打算,如图5所示。由于悬架K&C特色身分较众,是以将不够转向度理会至每一影响身分较为杂乱。此时,采用静态耦合的等效柔度筑模措施则表示出上风,通过静态耦合,能够将悬架的K&C特色关于不够转向度的影响与整车的运动形态及受力形态闭联起来,从而能够取得各悬架K&C特色关于不够转向度的影响纪律。

悬架的K&C特色重要研讨悬架受力爆发的变形及车身侧倾时车轮转角的改变,正在举行目标理会流程中,应起首依照整车的运动形态策画取得车辆的侧倾角及受力均衡相干。车身的侧倾角能够依照侧倾梯度目标取得,而车辆的稳态运动时的力和力矩,能够依照前述车辆模子取得。

前、后轴的等效侧偏柔度可举行如下理会(以前轴为例,1g侧向加快率对应轴荷与轮胎侧偏柔度、前悬架K&C特色等效侧偏柔度乞降即为前轴柔度)睹表1和表2。


表2 是某车型蕴涵轮胎及悬架K&C的各个身分正在不够转向度中的功勋量,图6、图7是依照上述目标理会措施所得的某车不够转向度理会饼图。从上述结果能够看出,侧向力转向、回正力矩转向、侧倾转向及轴回正力矩影响关于全体不够转向度梯度由较大功勋,而由轮胎侧向力惹起的侧偏角固然较大,然而前后侧偏角的差值使得轮胎正在不够转向度中的影响反而不是最大的。通过该结果能够看出,由上述措施能够将整车的不够转向度目标理会至轮胎及悬架体例的K&C特色目标,从而能够正在打算流程中,安排各身分取得预期的不够转向度数值。本车不够转向度试验值2.75,理会模子精度75.63%,餍足目标理会央求。

本文通过创造目标理会模子,探讨车辆动力学本能目标理会措施。采用等效柔度,以静态耦合的式样研讨悬架K&C特色关于车辆本能的影响,包含横摆和侧倾。云云,使模子既研讨了较为杂乱的身分,同时可能包管目标理会模子具有鲜明的物理旨趣,合用于目标理会。运用该措施对实践车辆动力学本能目标举行理会,验证了该措施的有用性。
汽车测试网-创立于2008年,报道汽车测试工夫与产物、趋向、动态等 闭联邮箱 marketing#auto-testing.net (把#改成@)
微信扫一扫打赏
支付宝扫一扫打赏
