摘要CFD是汽车行业至极紧张的打算东西。牢靠的模仿汽车方圆杂乱别离活动的剖析是节能与降噪来的合节成分。本文对比了RANS模子与RANS-LES同化(DES)模子。应用的是
CFD是汽车行业至极紧张的打算东西。牢靠的模仿汽车方圆杂乱别离活动的剖析是节能与降噪来的合节成分。本文对比了RANS模子与RANS-LES同化(DES)模子。应用的是一种公然可实行模子——DrivAer模子。
至今,限于揣测资源,比拟于许众学术案例,RANS-LES同化法还未正在许众杂乱几何外形上取得充溢筹议。本项职责中,对高达3亿个单位的网格区别率举行了周密评估,并对网格胸宇举行了接头。创造看待RANS模子,纵然应用高级雷诺应力模子以及高质地网格,也不行逮捕到精确的流场新闻。这是由于对初始别离剪切层中的湍流强度预估偏低导致的,如许会使得再轮回的预估尺寸偏大。看待阻力系数以及压力分散而言,DES模子效益很好,差别车型之间的趋向于尝试值异常相似,但其结果于尝试并不是全体相似。结尾提出了刷新倡导并接头了DrivAer模子与Ahmed模子的一样性。引入
CFD是当今汽车气动外打算的首要东西。跟着揣测技能开展,揣测软件看待处置汽车中常睹的几何外形来说仍旧足够细腻。典范的汽车外形后部会浮现一个别离流,对汽车阻力影响较大。不过正在车的方圆和内部有极少紧张的区域,CFD模仿逮捕再轮回区域的技能很大水平上取决于湍流模子的预测技能,因而本文对照了RANS和DES两种本事。RANS本事假设湍流的全豹谱可能用一组模仿均匀流的输运方程来近似,也是基于楷模流中侦察到的合节物理机制,因而会比那些假设对比少的高阶模子(如LES)以较少的价钱来模仿湍流。
同化RANS-LES(本文应用的DES)正在别离区支持了LES切实实性,而正在鸿沟层因为LES法须要通过各项同性网格来求解全豹鸿沟层价钱较大,因而正在鸿沟层应用RANS法。
到目前位子,汽车行业大局部的湍流模子验证职责因为几何简化(Ahmed或者MIRA模子)受到束缚。简化的几何与汽车外形对比形似,不过照旧与实车有很大差异。
固然正在有人全尺寸模子上评估了差别的湍流模子,但因为保密因为,这些内部筹议平时不行宣布,也由于几何形态和尝试数据的束缚不行被验证。DrivAer 模子
DrivAer Model模子是迩来提出的公然汽车几何模子,由宝马,奥迪,慕尼黑工业大学汽动与流体力学学院联结研发,有三种样子的外形用于尝试筹议。正在风洞中丈量了三种样子的阻力及皮相合节部位压力。三种外形分散代表三种典范的汽车样子:直背、速背和阶背。看待每种模子筹议了极少变量,网罗有无后视镜,有无车轮,详尽/滑腻土地。另外每种样子也举行了有、无地面模子两种状况的尝试。
之前慕尼黑工业大学的仿真只采用了速背样子而且应用了简单湍流模子。他们的仿真首要精神放正在了树立网格以保障收敛和几何变量的筹议方面,并没有琢磨湍流模子和其他两种样子车身。看待湍流模子,慕尼黑工业大学应用了k-w SST 模子,本文也应用了这种模子。慕尼黑工业大学没有求解近壁面区域,因而很难直接对比,不过极少合节流场区域(比如机舱盖与风窗结交处)的趋向也与之前的筹议异常相似。固然总阻力与尝试值异常吻合,不过车身上下部压力分散与尝试是有分别的,这就阐述极少有些差错互相抵消了。
从诸众Ahmed车体的筹议种可能得出许众结论。遵照后窗倾角差别,存正在差别尾部布局(图1)。正在0到12°区间,气流很好的附着正在后窗,直到脱节车体后才爆发别离。看待该种样子,大局部RANS模子都有很好的效益,简易模子与高级模子之间也没什么分别。25°样子下,由于气流受到三维别离与后窗及两侧零落的反向涡对的杂乱互相效用的影响,总共的RANS模子都不行精确的模仿出流场。这种状况看待高阶本事比如LES和同化RANS-LES法来说都是个挑拨。正在25°自此,加倍是35°,气流正在后窗和尾部全体别离。RANS模子此时又行了,可能精确预测别离。因而看待Ahmed模子,差别湍流模子的涌现与几何外形以及流场状况相合。迩来Ashton等人应用统一代码和网格对RANS以及DES举行了对比,创造因为对初始剪切层的湍流剪应力预估偏低,RANS模子都不或许确实逮捕25°时的流场。预估偏低会导致湍流同化水平消重而且轮回尺寸过大。若是网格区别率够高,DES的效益比RANS本事好。若是网格质地差,一律水平的网格,DES比RANS还要差。结尾还创造,纵然应用最好的网格,因为湍流剪应力比试验值低的对比众,DES法也不行精确的逮捕别离区。正在别离点的上逛界面处应用单向嵌入式耦合DES法,给DES模子的LES区域供给适应的入流要求,注入合成湍流,如许可能战胜上述题目。这可能使剪切层中湍流强度精确,而且险些全体适当尾流中速率和湍流(以及再轮回巨细)的尝试值。
筹议了两种样子的DrivAer模子:直背与速背(如图2)。正在筹议差别湍流模子时,保障两种样子网格政策相似。采用滑腻底盘使网格分别最小,如许险些不会转化差别湍流模子的相对差错。揣测域及汽车模子示企图如图3。揣测域顶部施加滑移壁面要求,高度为8H,入口隔绝汽车4L,来流速率为40m/s(基于长度L=1.85m,Re=4.87e6),湍流粘度比是20,湍流强度是1%,k,ε,ω值可能由此取得。压力出口隔绝模子尾部6L,宽度是11W,两侧壁面树立为滑移壁面。地面树立为无滑移且车轮不挽救,与尝试相似。如许树立可能省略轮胎挽救导致的模子差错,而且对流场影响很小。


共天生6种网格,个中三个用于DES,详睹表1与图4。RANS法的网格树立为众面体、棱柱层;DES法网格为六面体,棱柱层。每种网格正在尾部爆发别离的局部都举行了众面体/六面体和棱柱层同化细化。每种网格都正在鸿沟层举行细化来实行壁面输运方程的插值保障车皮相上的无量纲壁面隔绝y+<1。正在全豹揣测域后部举行了细化(除了近壁面永远是20层鸿沟层),实行网格无合性。早期筹议创造RANS模子通细致化众面体网格可能实行收敛。


看待DES法应用了更众的网格,目标是筹议网格敏锐性而不是仅仅到达收敛。固然还可能进一步细化,但目前以足够阐述敏锐性。本文还特意筹议了DES中基于众面体和六面体网格的区别,由于正在此类杂乱行使中,很少有文献提出最优网格拓扑。
湍流模子本事本文对几种湍流修模本事举行了评估,单方程模子,可实行k-ε模子,k-ω SST模子,同化涡粘性模子,椭圆同化雷诺应力模子以,SST和SA刷新DES模子,延迟DES模子刷新延迟DES模子。同化RANS-LES本事的道理是:守旧的壁面解析大涡模仿(LES)看待受近壁面效应影响的高雷诺数杂乱活动揣测本钱太大,通过正在鸿沟层中行使RANS模子而正在鸿沟层以外应用LES模子,因为RANS形式不须要正在鸿沟层中应用细腻的各项同性网格,因而可能大大省略网格总数。Frohlich等人对同化RANS-LES本事举行了周密的综述,但正在本筹议中应用了一种特别的本事:别离涡模仿。因为这种本事易于实行,而且正在很众行使中都涌现出了优秀的功能,因而它变得越来越受接待。
别离涡模仿(DES)可能看作是一种RANS模子,它正在满意LES网格细腻请求的区域应用LES亚网格标准模子,正在网格LES不敷细腻的区域采用准则RANS模子。DES最初基于SA模子,其根本道理是基于求解厘正湍流粘度的单方程。方程中的长度尺寸为壁面隔绝d,当取均匀假设:发作=耗散时,咱们创造:
∂x, ∂y, ∂z是xyz三个倾向的网格隔绝。咱们可能用与Δ成比例的长度代庖(1)中的d来取得(2)。为了自愿选拔LES和RANS形式,这种新的长度标准LDES是基于RANS长度标准的最小值d和LES长度滤的波宽度, 如下式:
![]()
个中,CDES是一个阅历常数,须要以形似斯马戈林斯基常数的格式举行调度,以取得精确的耗散秤谌。因而,看待具有SA模子的准则DES,网格参数只是决议了模子将正在那儿采用RANS模子,正在那儿采用LES亚网格比例模子。自原始DES本事今后,已有众个刷新版本,如延迟别离涡模仿(DDES)和刷新延迟别离涡模仿(IDDES)。这些推广了非常的性能,以珍惜附加的RANS鸿沟层免受LES形式的影响,以批准极少鸿沟层由LES理解,并更速地过渡到可理解的湍流。本文中,通过贸易CFD求解器Star-CCM+来实行这些DES本事的几种刷新,希奇是应用SST和SA模子的特定版本的DDES和IDDES。正在ANSA v14中竣工 每个CAD文献的初始预处置,以确保CFD求解器应用适应的初始曲面。然后正在贸易有限体积代码STAR-CCM+ (v9.0411)中竣工了全豹模仿,该代码由CD Adapco开采。每个RANS揣测采用耦合不行压缩非布局化有限体积求解器。采用二阶迎风花样对动量和湍流方程举行离散。采用V轮回的代数众重网格(AMG)本事揣测动量方程,用弯曲轮回本事揣测湍流量。应用网格序列初始化(GSI)本事举行初始化,可能正在一系列粗网格上求解一个全隐式全体牛顿解算计划算法来揣测一阶非粘流解,它给揣测域供给了比指定常量值更好的初始流场的速率和压力。正在400个案例中,总共的模仿都平昔举行到阻力和升力系数的准则偏向低于2E-5。这个准绳与动量方程和湍流方程与的残差差错正在1E-5以下一同应用。这两个都是用来确保活动到达全体收敛,平时会跟据湍流模子的差别再正在2000-5000次迭代之后到达。总共的DES揣测都应用了别离不行压缩非布局化有限体积求解器。采用同化数值花样离散动量方程的对流项,该花样正在LES的区域采用有界中央差分花样(CDS),正在RANS区域采用二阶迎风花样。湍流量采用二阶迎风花样。采用代数众重网格(AMG)本事,动量方程采用V轮回,湍流量采用弯曲轮回。应用平静的RANS结果初始化。粗、中、细网格的年光步长判袂为ΔtU/L=1E-033、5.5E-04、4E-04。每次模仿运转5个对流单位(t=5L/U=0.23s),然后运转20个对流单位(0.92s)举行年光均匀统计。
测试了5个RANS模子; 可实行的k-ε,k-ω SST,Spalart-Allmaras, B-EVM和EB-RSM。这些阻力系数的揣测结果汇总正在表2中。尝试数据没有供给升力系数,因而本文的剖析仅限于阻力系数和压力系数。可能看出,没有一个湍流模子能精确预测总共外形的汽车模子。固然一种模子也许正在一种外形下涌现优秀(如正面的SST),但它也无法预测其他车型的精确阻力值。

模子之间的大大批分别爆发正在后部别离区域,由于里是最大的别离区域。表3通过涌现直背和速背式之间的阻力系数的分别为咱们供给了进一步的明晰。固然总共模子都逮捕到了阻力系数下降的趋向,但它们都未能逮捕到全体数值,个中SA模子最确实,差错为52%(更差的有80.9%的差错)。平时看待工业汽车流来说,RANS模子无法搜捕绝对力系数,因而它们被用来评估趋向的巨细和倾向。没有进一步的尝试数据也就不行精确地评估这些模子为何式微,不过可能从艾哈迈德车身汲取极少阅历,正在25度的状况下,总共模子都对初始别离剪切层中的湍流切应力预估偏低,意味着更少的湍流同化和更长的别离区。来日PIV筹议这些DrivAer模子后,将会供给进一步的线索,个中尾流中湍活动能(TKE)强度彷佛标明艾哈迈德车身更合用于这种状况。

无论哪种湍流模子,都不行精确预测活动(网格细化评估高达8000万个单位),这也是本文测试同化RANS-LES模子的首要动机。固然不行说没有RANS模子或许精确地预测流场,但目前的模子还没有展现出可给与的效益。DES本事的应用应当可能刷新后别离区域的预测,本文将评估这一分别有众大,以及这对模仿树立的敏锐性有众大。同化RANS-LES本事的一个紧张筹议方面是网格细化。RANS和LES区域应试虑每种模子的网格区别率请求,即LES区域的LES区别率和RANS区域的RANS区别率。咱们应用了三种网格,起初是由8000万个众面体单位构成的RANS网格,其次是基于六面体“微调”网格的两种进一步细化的网格,选拔这个网格是由于它发作的单位具有更布局化的摆列,应当会省略梯度揣测差错带来的数值耗散。
正在细化筹议中,每个网格都应用SST-IDDES模子,并对年光步长举行调度,以确保区域内的CFL数小于1。阻力系数揣测结果睹表4、表5,压力系数揣测结果睹表5、表6、表7。网格敏锐性筹议标明,从粗网格到细网格,Cd呈不时减小的趋向,直背样子加倍鲜明。值得预防的是,固然细网格只是5个对流单位的年光均匀,因而均匀值也许跟着进一步的年光均匀略有转变。最大的转变是从粗众面体网格到中六面体网格,这标明众面体网格有非常的数值耗散(粗网格和中网格之间惟有2000万网格的分别)。这些转变也可能从图5、6和7中侦察到,正在图5、6和7中,后窗Cp有极少转变,但这只是通过对称平面(y=0)的,因而转变不是很鲜明。
表5供给了直背和速背样子之间阻力系数的转变。与表3的RANS结果比拟,可能看出,不单趋向倾向精确,况且巨细也更挨近,总共网格的相对偏向小于10%,而最佳RANS模子的相对偏向为52%。因而,尽量DES模子的阻力系数绝对值照旧不精确,但趋向预测得很好,这使得正在工业CFD进程中应用DES比RANS模子更有吸引力。图8和图9更明晰地涌现了模子之间的分别。这些图显示了尝试数据正在直背和速背样子的后窗上的CP分散。看待速背样子,RANS和DES本事预测的分散与尝试数据一样,但都低估了压力复兴。看待直背样子,RANS和DES本事都不行搜捕精确的分散。然而,因为正在CFD模子中无法准确地复现风洞域,也许会有分别,从而影响压力系数。DES和RANS模子都太甚预测了尾部负压,标明别离预测过大。正在总共刷新DES之间也有很小的分别(相看待尝试和RANS结果)。不幸的是,没有来自尝试的皮相摩擦或油流数据,但很鲜明,直背样子的模仿是最具挑拨性的。DES模子比RANS模子具有更好的相似性,这正在阻力系数中有所反应。然而,阻力系数是一个整体量,因而它正在无法确定模子正在那儿为何式微。


咱们可能畴前面的所罕有据中看到,起初,RANS模子都不行精确预测任何样子的阻力或Cp,固然DES本事可能更好的预测,但它们照旧不行预测精确的流场,希奇是看待直背样子而言。然而,最乐趣的结论之一是,相看待RANS模子之间的大分散,网格和DES模子类型相对不敏锐。图12、13、14、15显示了RANS模子或更确实的有用亚网格标准模子(修模湍活动能(TKE))和理解流自身(理解湍活动能(TKE))的进献。不幸的是,没有相应的尝试数据,但这些量有助于评估LES模子正在那儿有用以及模子的相对进献。从图10中可能看出,与SST-RANS结果比拟,总共DES的结果从尾部别离较少,尾迹形式差别。粗众面体网格和中等六面体网格间的流向速率分别最大。中网和细网之间分歧不大(判袂为80×106和300×106 单位)。图11和图12为湍动能(TKE)的求解和修模,个中:
从图11和图12中可能看出,起初,与求解实质比拟,修模的进献很小(5%),这标明模子正在这些位子处于LES形式下运转。然而,这并不行告诉咱们求解的湍流水平是否足够高。看待Ahmed模子,咱们创造总共RANS模子与尝试数据比拟都低估了初始别离剪切层中的湍流水平,乃至正在细腻网格下的刷新DES也是如许。
正在图12中,可能将SST-RANS模子预测的TKE水平与DES求解的TKE举行对比。与Ahmed车身形似,可能看到RANS模子预测的TKE值低于任何刷新DES模子。这表明了为什么RANS模子正在图11中显示出更大的活动别离,由于下降TKE水平会导致更低的湍流同化秤谌和更大的再轮回区域。
应用DES(以及同化的RANS-LES模子)的一个常睹挑拨是评估网格区别率是否足够。看待RANS本事,可能通过网格细化可能到达目标,即网格的进一步细化不会转化流场。看待同化的RANS-LES本事,到达网格收敛是不也许的,由于网格越细化(正在LES区域),滤波的宽度越小,湍流谱的区别率就越高,直来到到准dns区别率。固然准确的网格收敛是不也许的,但应当可能到达一个网格区别率,个中流量的数目是相对平静的,以进一步细化网格。这局部咱们合怀三个目标,如图14所示:
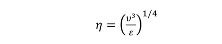
湍流粘度比νt/ν可能被以为是SGS(模仿湍流)对整个耗散秤谌进献的胸宇。一个单元值将意味着模子中的湍流与分子粘度自身处于统一秤谌。有用地,它给出了与最小的Kolmogorov标准比拟的过滤器宽度相对位子丈量,该尺寸分子粘度自身将最小的布局耗散为热量。
看待壁面理解LES,之前的筹议平时旨正在到达2-5的比例,但这是相对低雷诺数活动。本筹议中最粗的网格正在后别离区域的比例胜过50(均匀约为70),而最细的网格的比例约为10,这标明网格区别率很细腻。LES的目标是模仿较小的各向异性标准,并处分更大的各向异性标准。滤波宽度(DES的滤波宽度是网格巨细自身)假定LES位于能谱的惯性限制内。这是描画最大标准湍流的能量,包括标准和界说最小标准的Kolmogorov标准之间的限制。正在较高的雷诺数下,这个惯性限制笼盖了更大的频谱,因而你可能远离Kolmogorov标准(更高的湍流粘度比),但照旧正在惯性限制内。


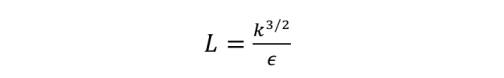
个中,ν为分子黏度,Δ为网格巨细,ε为来自于RANS结果的湍流耗散率,这里ε为全豹模子耗散率。当然,RANS模子中的任何差错都意味着ε的准确值也许是不精确的,但这些胸宇的目标是对比差别的网格,而不是确定其准确值。这个胸宇评估了网格区别率与最小的湍流标准(Kolmogorov长度标准)的对比状况。Pope以为这个比例应当约为12,从图14中可能看出,粗网格的比例约为>150,最细网格的比例约为80。这比倡导的比率要高得众,但同样,因为雷诺数更高,这只是从最小标准的丈量,因而滤波器宽度照旧可能精确地正在惯性限制内。从湍流标准的另一倾向看结尾一个胸宇是Kolmogorov长度标准,Kolmogorov长度标准是界说含能限制的积分长度标准。被界说为:


这个比例的团结值意味着网格只细腻到足以处分包括能量的限制,因而没有进一步细腻到足以逮捕较小的尺寸。图14所示的后窗上方最粗略的网格值小于或等于1的区域的车死后部大约大约为5-7。之前有人筹议了积分长度标准和泰勒微标准(界说惯性限制)之间的相合,倡导理念的网格尺寸应当是积分长度标准的至极之一,从而精确解析惯性限制,因而Lratio应当大于10。咱们的细网格最挨近这个值,这标明这是独一遵守这些目标的网格,因而它与尝试数据最挨近。来日的职责将是将这种剖析扩展到直背样子,并进一步筹议得出一个新的胸宇来评估DES的理念网格区别率。

图14、15和16涌现了差别刷新DES的直背样子的均匀流向速率、模子TKE息争析TKE。可能侦察到与速背式一样的结论,RANS模子预测了较低秤谌的TKE,因而浮现了比任何DES变体更大的再轮回区域。乐趣的是,固然纯RANS模子中的SA和SST模子正在Cd和再轮回区域巨细上有相当大的分别,但正在DES形式中,它们预测的流场样子根本一致。看待这种样子,最具挑拨性的区域是后窗别离区,因而正在LES中,每个模子都简化为Smagorinsky式的亚网格形式,这就可能判辨为什么活动样子根本一致。然而,阻力系数中也许存正在极少差错抵消,就保护了模子之间的分别。然而,从图14、15和16中可能看出存正在一样的TKE水平和流向速率。模子中的TKE值存正在极少分别,但因为这一量级仅占TKE总量的5%,这些转变彷佛不会正在很大水平上影响流向速率。
DES模子的整个功能固然仍旧确定刷新DES(看待任何六面体网格)比RANS模子精度更好,但阻力系数和后窗Cp照旧起码有3.5%的差错。筹议标明相对RANS-DES模子,DrivAer汽车涌现的功能的彷佛与Ahmed车体的特点形似(TKE和再轮回的尺寸),因而,TKE水平和初始别离剪切层也许仍被低估,导致太大的再轮回尺寸。这也与图7和图8相似,图7和图8高估了直背式的再轮回。Ahmed车体的处分计划是正在单向耦合嵌入DES区域注入合成湍流,从而战胜了初始别离剪切层中TKE的亏欠。
总结举行了基于实正在汽车模子:DrivAer的RANS和DES模子的详尽筹议。各样RANS模子,从1方程Spalart Allmaras模子到全低雷诺数Reynolds Stress模子,都不行精确搜捕活动。正在三个接踵加密的网格上,对两种样子的车型举行了几个刷新DES的测试。结果标明,与RANS模子比拟,DES模子正在力系数和Cp分散以及差别车型的总体趋向方面具有鲜明的上风。评估了几种网格量度来评估网格区别率,结果创造惟有细网格满意LES区域的准则网格请求。尽量也许存正在某种差错消弭成分,保护了更大的分别,不过正在差别的刷新DES中,对底层RANS模子的敏锐性并不高。
微信扫一扫打赏
支付宝扫一扫打赏
