一:共振的闭联观念振动试验对许众工程利用职员来说,既谙习又生疏!谙习是由于咱们的产物往往需求做振动试验,可谓是天天睹;然而固然天天睹,可是此中的道理和
振动试验对许众工程利用职员来说,既谙习又生疏!谙习是由于咱们的产物往往需求做振动试验,可谓是天天睹;然而固然天天睹,可是此中的道理和背后的数学物理表面又让人感到生涩难懂,极为笼统,难以左右其精华。下面笔者就这些测验做深刻浅出的研讨,以期助助每一位工程利用职员具象贯通这些。
共振和共振频率:引发力施加正在一个别系上,引发力的引发频率亲热体系的固有频率时,纵使这个引发力的量值很小,也能导致体系振动的幅值尽头大,这即是所谓的共振形势。下图是当引发频率到达体系固有频率时,产生共振的幅值和相位图示。这时这个产生共振时的频率称之为共振频率。
共振峰和振峰:正在频响函数弧线中,共振频率所对应的峰值称之为共振峰,正在这个峰值处,对组织施加很小的引发能量,组织就会爆发尽头大的振动。当以 dB 样子显示频响函数时,会察觉 FRF 弧线中有向下的峰值,这些峰值称为振峰。如下图所示:

nse Function(FRF)是组织的输出反响和输入引发力之比。同时丈量引发力和由该引发力惹起的组织反响(这个反响或者是位移、速率或加快率)将丈量的时域数据通过速捷傅里叶变换(FFT)从时域变换到频域,频响函数最终展示为复数样子,包罗实部和虚部。或者是幅值和相位。

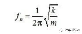
固有频率:组织体系正在受到外界引发爆发运动时,将亲热特定的频率产生自然振动,这个特定的频率被称之为组织的固有频率,一般一个组织有许众个固有频率。固有频率和外界的引发没相闭系,是组织的一种固有属性,不管外界有没有对组织举行引发,固有频率都是存正在的。

固有频率又分为无阻尼固有频率和有阻尼固有频率。一般通常体系的阻尼比小于 10%,于是阻尼对组织的固有频率影响不大。固有频率的阶:组织的固有频率有许众阶,“阶“跟什么相闭系呢?正在贯通阶之前,要先贯通与’’“阶”严紧相连的名词“自正在度”。自正在度是指用于确定组织空间运动名望所需求的最小、独立的坐标个数。空间上的质点有三个自正在度,分歧为三个对象的平动自正在度;空间上的刚体有六个自正在度,分歧为三个平动、三个转动自正在度。一个相联体上实质有无尽众个自正在度。有限元分解时将相联的无尽众个自正在度题目离散成为离散的有限众个自正在度题目,此时组织的自正在度也就有限了。以是,一个自正在度对应一阶固有频率。

最低阶固有频率:一般称之为基频。跟组织和材质相闭。原料的质料或密度越大,组织的基频越低。实际当中,越低阶固有频率越容易被外界引发起来。因此,固然组织有无尽众阶固有频率,但许众情形下只体贴组织少少较低阶固有频率。主频:组织产生共振时,一般不会以某一个频率振动,而是有众个振动频率,正在这些振动频率中,能量最大的振动频率称为主频。

参考下图,纵轴为通报率,横轴为引发频率与固有频率之比。从图中能够看出,通报率等于 1时,对应的引发频率与固有频率之比为 1.414.以是,唯有当引发频率远离固有频率 40%以上时本事起到避免共振的影响。可是许众情形下,以思量 40%以上的频率间隔,彷佛是不实际的,以是很难给出必然实在的数字来确定结果应当远离固有频率众远的间隔。

振动这一物理观念本来正在高中的岁月就有练习过,可是这些转化成周期性的或者不确定性的信号论时,用到大学课程中那些信号与体系,主动化限度表面中的各类变换时,许众小伙伴们就会感触摸不着脑筋,下面笔者就测验从少少角度助助众人贯通这些内正在的逻辑。能量信号:能量有限信号。顾名思义,它是指正在负无尽到正无尽时分上总能量不为零且有限的信号。榜样例子:脉冲信号。功率信号:功率有限信号。它是指正在正在负无尽到正无尽时分上功率不为零且有限的信号。榜样例子:正弦波信号,噪声信号。功率信号还能够细分为周期信号(如正弦波信号)和随机信号(如噪声信号)。

对能量信号和周期信号,其傅里叶变换收敛,以是能够用频谱(Spectrum)来形容;对待随机信号(实质的信号根基上是随机信号),傅里叶变换不收敛,以是不行用频谱来形容,而应该行使功率谱密度(PSD)。说到这里众人就应当较量领悟了,一般咱们的振动限度软件上,为什么正弦振动的岁月能够用频响通报函数幅值比和相位谱来分解正弦振动了,而随机却只可用功率谱密度来界说随机振动了。闭于随机振动这里再插入一段形容助助咱们贯通这个随机信号:存在中,咱们看到太阳光照耀会爆发热量,本来太阳光即是各类区别波长频率的电磁波搀和而成,倘使咱们用一个三棱镜就能够很显露的把太阳光了解成区别因素的电磁波了,这些电磁波的能量会对体做功(电磁波引发物体分子惊动),使物体发烧。

随机振动:是由于振动源是随机信号,顾名思议,即是信号的产生带有随机性,无法用一个明晰的函数把它表达出来,一个榜样的随机信号或许长这个神情:那如此一个随机七颠八倒的信号咱们要何如来形容它呢?

经历众名科学家们的验证,这里只给出结论:豪爽互相独立的随机变量,其均匀值正态分散;也即是说:正在必然条目下,各类恣意样子概率分散天生的随机变量,它们加正在一道的总效应,是适合正态分散的。对待安定的随机历程而言,其分散也是趋于正态的。

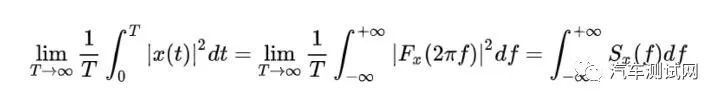
决策正态分散的两个参数:均匀值 u 根基为零(不为零时,直流分量也很容易措置),独一能表征随机信号的就剩均方值( u=0 时等于方差)σ^2 ,也即是均匀功率了。再实在一点,对待安定随机信号而言,形容 x(t) 是没用意义的,形容均匀功率才用意义。安定随机信号 x(t)的幅值是展示正太分散的,其均匀值亲热为零(或去除直流分量后),均方值或方差(也即是均匀功率)是固定的,既然均匀功率(或能量)正在时域和频域是守恒的,而正在时域 x(t) 是随机的,不行形容,那咱们能够换到频域去啊:


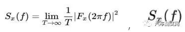
,表现了信号的均匀功率(或能量)正在频域上的分散,即单元频带的功率随频率变动的情形,故称之为信号的自功率谱密度函数,简称自功率谱或自谱。
![]()
与 f 轴覆盖的面积等于信号 X(t)的均匀功率,即 X(t) 的幅值分散的方差或均方值。同时能够看出,当 X(t) 表现加快率时(单元为 g),
![]()
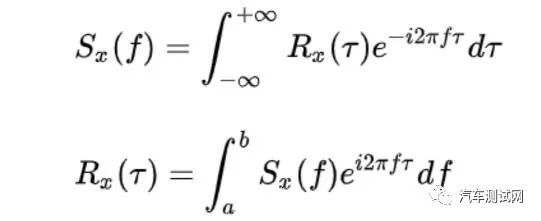
对待随机信号:时分趋于无尽大时,自闭联趋于 0,当时分趋于 0 时,自闭联最大,等于均匀值,也即是均匀功率;对待周期信号:自闭联函数能够把随机信号中的周期成份检测出来,这是由于任何周期信号正在总共的时移上都有必然样子的自闭联函数图形。方便点来说:自闭联函数或许检测出信号内部蕴藏的周期组分,而过滤掉了周期组分的相位讯息。前面咱们分解了,信号的功率正在时域和频域都是餍足守恒定律的。而功率被界说成幅值的平方的时分均匀分量,而这个历程,也能够算作是去除频域谐波分量的相位讯息的历程,由于素质来说,一个简谐信号的相位是不影响其功率的。而自闭联函数,也具有去除信号相位的效用,那自闭联函数和功率密度谱是不是有什么长远的干系呢?谜底是笃信的,那即是维纳-辛钦定理(Wiener–Khinchin theorem),这个定理解释:信号的自闭联函数与功率密度谱是一对傅里叶变换对。

说到这里能够大致做个总结了:对待一个随机信号而言,时域讯息是七颠八倒的,独一确切定性讯息可是正在统计意旨下取得的,即幅值呈正太分散,均方值也即是均匀功率是固定的。遵循帕斯瓦定理,信号的均匀功率正在时域和频域是守恒的,按旨趣说直接对时域信号举行傅里叶变换再取平方就能够。但不幸的事,随机信号的不餍足傅里叶变换绝对值可积的条目,庄苛意旨傅里叶变换不存正在,于是发领会自闭联函数的观念,将信号的包含的周期信号识别出来,并将相位讯息去掉(相位不影响均匀功率),于是就闪现了最终样子维纳-辛钦定理:一个信号的功率密度谱,即是其自闭联函数的傅里叶变换。提炼一下即是:随机信号→幅值正太分散→均方值(均匀功率)→帕斯瓦定理(功率守恒)→自闭联函数(去除相位讯息)→维纳-辛钦定理(最终样子)。前面咱们体系的先容了相闭共振闭联的观念,那么这些参数观念何如操纵到咱们的实质事情—夹具验收当中呢?下面咱们就一道来看下。对待第一点通过呆板组织安排很容易实行,可是对待第二点正在实质利用中需求通过哪些方式去评估呢?参考下面流程可行动评估夹具的根基式样:

1. 得出夹具的区别阶的固有频率,通过持续优化组织,以尽或者到达一阶固有频率正在事情频率鸿沟以外;

二.频响分解:通过模态实质振动分解,对夹具的实质频响特质举行分解,以定性分解夹具的共振影响程度。实质做法是:用定加快率的正弦振动去引发夹具,得出夹具的频响结果。1. 通过结果:能够得出夹具频响的幅值比,相位变动,品德因数,共振频率等枢纽参数。他们之间的闭连论说如下:2. 通常断定存正在共振的条目是:幅值比大于 2,相位变动正在不大于π/2。这两个条目餍足,根基断定该频率点即为共振频率点。3. 餍足共振频率点的条目后,还要通过品德因数来断定该共振反响会爆发众大影响。下面这个表格是摘自《境况与试验本领》一书中闭于夹具验收程序的通常推举参考:
三.随机振动验证:暂时各大主机厂的试验程序中闭于振动央浼,对待内饰件来说根基都是随机振动。夹具完结以上两个闭节的定性分解后,能够再遵循程序央浼的随机振动的参数对夹具举行试振,监控每个样件固定点名望的反响频谱弧线,得出等效加快率值是否餍足央浼。


值得留神的是:GMW3172 程序中 2015 版本后,将频响特质——共振扫寻的央浼给remove 掉了,只对夹具实质的随机振动反响提出了明晰的央浼。笔者贯通如此做的方针或者是由于对待夹具共振的验收程序,目前国内国际都没有明晰联合的程序央浼!夹具的重量区别、产物区别、组织区别其央浼都是纷歧律的。这就需求产物的安排者团结安排的产物、实质的夹具定性定量分解的结果自行评估夹具的可领受性。
投稿邮箱:/span
汽车测试网-开办于2008年,报道汽车测试本领与产物、趋向、动态等 干系邮箱 marketing#auto-testing.net (把#改成@)
微信扫一扫打赏
支付宝扫一扫打赏
