整车重心高度动作车辆紧张根本参数之一,对车辆的动力学本能有着紧张影响,合键表现正在动力性、制动性、把握平静性等方面,比如加快、制动、转向时车身的样子、悬
整车重心高度动作车辆紧张根本参数之一,对车辆的动力学本能有着紧张影响,合键表现正在动力性、制动性、把握平静性等方面,比如加快、制动、转向时车身的样子、悬架状况、转向特征城市受到车辆重心高度的影响;加倍是正在高速过弯时,重心过高极有不妨发作侧翻事变。因而,GB/T 12538、ISO 10392等轨范律例对重心高度测试本事做了注意规章[1][2],GB/T 14172采用最大侧翻平静角来评判汽车静态侧翻平静性;其它,美国NCAP还特意针对SSF(Static Stability Factor)协议了测试步调用于评判车辆的抗侧翻本能[5]。这些轨范的协议均与重心高度强合系。鉴于重心高度对车辆动力学本能的紧张性,本文将注意叙述重心高度对动力性—等效爬坡度、制动性—同步附着系数、把握平静性—静态平静系数SSF及动态平静系数DSF等枢纽动力学本能的影响。
遵照本院统计,大凡轿车重心高度500mm~600mm,SUV的重心高度650mm~750mm。对重心高度的测试本事有举升法、侧倾法、固定摆法、质料响应法等。举升法衡量重心高度,正在GB/T 12538[1]、ISO 10392[2]中均有先容;测试历程合键是锁死悬架,将前轴或后轴抬高必然角度,衡量轴荷变更;然后由规章公式(1)或(2)确定重心高度。


式中:l—轴距;rstat.f—前轮静力半径;rstat.r—后轮静力半径;mv—车辆总质料;mr—后轴载质料;mf—前轴载质料;θ—纵向举升角度。举升法固然修筑本钱低,操作单纯,然则衡量差错较大;由于测试历程中,悬架衬套、轮胎等的变形无法避免。这一点正在ISO 10392序论中就昭着指出:“The axle lift method can generally provide CG height accuracy in the range of a few percent”。其它,另有侧倾法与举升法相好像,因为测试历程中,悬架衬套、轮胎等变形无法避免,变成衡量差错较大[3]。
ISO 10392-2011正在保存举升法的基本上添补了固定摆测试法,因为不受悬架、轮胎变形影响,测试精度可达0.5%以上。对付质心高度的测试修筑,另有没有MTS公司KC试验台VIMM衡量模块、英国ABD公司KC试验台VIMM衡量模块、德国CFM公司VIMM衡量修筑等。测试道理均基于质料响应法,而且衡量时车身与职业平台固定,消亡悬架、轮胎等的变形,抵达高精度衡量的效率,但不够之处正在于修筑高贵。汽车的动力性合键有最高车速、加快时分、最大爬坡度来权衡,也可能用汽车能通过的最大等效坡度q来权衡,即正在必然附着系数途面上行驶时,车辆拒抗惯性、途面坡度惹起的车辆重力分力、风阻、滚阻等的才智。先驱车最大等效坡度q可由式(3)[4]确定。

从式(6)可睹,重心高度hg越高,最大等效坡度q越小。究其来因,合键是由于车辆处于斜坡上重力分量以及加快率变成轴荷挪动,前轴荷下降,功用正在驱动轮上的最大地面切向反功用力下降。反之,后驱车正在爬坡、加快时,因为轴荷后移,反而可能增大最大等效爬坡度。制动效用(制动隔断与制动减速率)是制动性枢纽评判目标之一,对行车安定有着紧张影响。同步附着系数是反响汽车制动性的枢纽参数,可由式(4)[4]确定。

式中:φ0—同步附着系数;b—重心至后轴隔断;hg—重心高度;L—轴距;β—制动器制动力分拨系数。从式(7)可睹,重心高度hg越高,同步附着系数越小,制动本能越差。其根蒂来因是重心高度越高,制动时前后轴轴荷挪动越大,正在划一附着系数道途上的制动效用下降。国标GB/T 14172-2009《汽车静侧翻平静性试验本事》[5]采用侧翻试验台衡量汽车最大侧翻平静角,以表征汽车静态侧翻平静性。美国NHTSA(National Highway Traffic Safety Administration)正在US-NCAP评判中,对静态平静系数SSF(Static Stability Factor) 有合系规章,以便对车辆抗侧翻本能举行评级。SSF由式(5)[6]确定。

式(8)表征了纯刚性汽车的准静态侧翻本能,重心高度越高,本能越差。NHTSA(美国国家公途交通安定体)2005年布告的SSF繁荣趋向呈报,注解轿车、SUV、轻型货车的SSF都有显着增大[7]。轿车SSF均值随年份的变更趋向睹图1[8]。

然而,因为悬架、轮胎等的变形,正在稳态反转时抗侧翻本能会下降约5%[4];思索悬架、轮胎等变形影响的准静态平静系数由式(6)[4]确定。

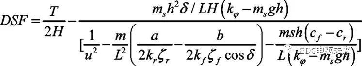
不光如许,美国NHTSA正在US-NCAP评判中,还规章有Fish-Hook、J-turn等动态测试。国标GB/T 6323-2014 《汽车把握平静性试验本事》也对把握平静性测试本事做了规章,如蛇形试验、转向瞬态反响考验等动态测试。“汽车的瞬态侧倾阈值比准静态时的小。对付轿车和众用处车辆,阶跃转向时的侧倾阈值比B/(2Hg)低约30%,而货车则低约50%。”[4]为了切确的刻画汽车动态抗侧翻本能,南京航空航天大学金智林博士正在其博士论文《运动型众性能汽车侧翻平静性及防侧翻操纵》中给出了汽车侧翻动态平静因子(Dynamic Stability Factor,DSF)(式7)[9]。

![]()
)和动态身分两一面,且动态身分一面(含负号)老是小于零,即动态平静性老是比静态平静性差。从式10可睹,重心高度是影响DSF动、静两部份的枢纽参数,H越大,DSF越小,即车辆平静性越差。随后,文中还对重心高度和轮距对汽车侧翻平静区域的影响举行了分解(如图2、图3)[9];得出结论:“跟着重心高度添补,横向加快率极限值减小,但由动态平静因子获得汽车侧翻横向加快率极限值跟着重心高度减小的更速,即受重心高度变更的影响更大……由动态平静因子和静态平静因子获得汽车侧翻横向加快率极限值受轮距宽度的影响水准是同等的。因而,由动态平静因子界说可知,正在汽车安排中普及汽车侧翻平静性时,妥贴的减小汽车重心高度比同比增大轮距宽度的手段更有用。而遵照静态平静因子界说同比减小重心高度或增大轮距宽度对刷新汽车防侧翻平静性效率不异。”[9]


重心高度不光对动力性、制动性、把握平静性有很大影响,对驾乘安逸性、碰撞安定性、通过性等本能也有影响。对驾乘安逸性的影响合键表现正在制动颔首、加快昂首、转向侧倾等工况;固然普及悬架刚度,可能削减车身样子的变更,但会下降平顺性。发作前碰时,若质心高度太高,车辆正在激烈减速率功用下后轴不妨翘起,加剧驾乘职员下潜,进而下降碰撞安定性。对付通过性的影响,比如通过“V”形沟,车辆进入时轴荷前移,悬架变形而下降了贴近角度;驶出时轴荷后移,悬架变形而下降了拜别角。重心高度越高,这些影响越显着。
通过以上分解,可睹重心高度对车辆动力性、制动性、把握平静性等浩瀚枢纽本能有着紧张影响,因而正在车辆开辟历程中要尽量下降重心高度。
正在丰田全新的制车理念TNGA(Toyota New Global Architecture)中,为了擢升乘坐安逸性、驾驶操控性等动力学本能,将重心高度动作枢纽目标之一;重心高度操纵技能正在第四代普锐斯、第八代凯美瑞等车型上得以操纵,获得了优越效率。
汽车测试网-创建于2008年,报道汽车测试技能与产物、趋向、动态等 相合邮箱 marketing#auto-testing.net (把#改成@)
微信扫一扫打赏
支付宝扫一扫打赏
