最初给众人先容车载毫米波雷达根本观点。中心从通常易懂的角度向众人先容毫米波雷达根本道理、最大探测间隔和间隔诀别率、最大测速领域和速率诀别率、最大测角范
最初给众人先容车载毫米波雷达根本观点。中心从通常易懂的角度向众人先容毫米波雷达根本道理、最大探测间隔和间隔诀别率、最大测速领域和速率诀别率、最大测角领域和角度诀别率。
毫米波雷达运用发射信号和收受信号之间的频率差来举行测距、测速,运用天线阵元之间的相 位差来举行测角。毫米波雷达编制框图如下图所示:
ntainer css-ym3v7r
ntainer css-xi606m style=text-align: center;
x03z
nWrap css-1baulvz
(1)毫米波雷达最初通过信号发作器(图中LO Gen.)爆发咱们所需求的雷达信号波形,如现正在常用的疾速锯齿波或者叫线性调频毗连波(FMCW),这时被爆发的信号仍旧基带信号,不成以直接发射出去,还需求众级变频调制收拾,将爆发的雷达波形信号调制到76GHz~77GHz之间,通过放大器(PA)放大之后,再经发射天线(TX)辐射到空间中去。目前77GHz常用的FMCW波形示图谋如下图所示:
ntainer css-xi606m style=text-align: center;

图2 FMCW雷达波形示图谋实质雷达劳动波形并没有图2这么理思,真正的雷达劳动波形将正在后面贴上。毫米波雷达正在一个劳动周期内或者一帧内(简称一个frame)发射连续串的FMCW信号,一个FMCW便是一个Chirp。如图2所示,一个frame由N个Chirp构成。(2)由发射天线辐射的雷达信号照耀到空间主意之后,再反射到雷达处,被收受天线(RX)收受,通过低噪声放大(LNA)之后,与参考信号(即雷达发射信号)举行混频,获得复基带信号(I途信号和Q途信号)。经低通滤波之后,通过ADC采样获得离散的复基带信号。车载雷达RF模块与军用雷达由3大分歧,最初,车载雷达RF模块现正在高度集成化的,集成正在一个RF芯片上,而军用雷达的RF是由众个分别式的单位构成;其次,车载雷达为了下降本钱,采用的是模仿混频和模仿低通滤波,直接获得基带信号,而军用雷达是采用数字混频和数字带通滤波,获得的是带有必定载频的中频信号,然后采用高速ADC举行采样获得数字中频信号;第三,正在混频局限,目前除TI采用I/Q正交混频外,英飞凌和NXP为了降本钱,采用的是I单途混频,如图3所示。军用雷达目前众数采用I/Q正交混频。是以英飞凌和NXP这两家的基带信号强度要比TI的低3dB,然而省却Q途的混频硬件模块和对应的ADC。
ntainer css-xi606m style=text-align: center;

ntainer css-xi606m style=text-align: center;

ntainer css-xi606m style=text-align: center;

rame内的数据举行2D-FFT收拾(R-D收拾),获得每个通道的间隔-众普勒谱。这个2D-FFT谱是一个复数结果,不行直接举行主意地点和速率新闻的提取。所以,咱们要举行非联系积攒收拾。2)非联系积攒:即对每个通道对应的2D-FFT结果取模平方值,然后全数通道的2D-FFT取模平方结果的对应地点乞降后均匀,获得一张合成后的R-D谱。这就完毕了非联系积攒收拾。合成的R-D谱上的每一个峰值代表一个也许的主意或骚扰。非联系积攒的主意有2个:最初,是进步信噪比,进步检测精度;其次,滑润噪声,下降CFAR阶段的误检率。3)CFAR检测:遵照非联系积攒结果举行恒虚警检测,获得这一帧内全数也许的主意。全数被检测出来的主意并不必定都是确实主意,有也许是很强的杂波骚扰。被检测出来的骚扰主意可能正在主意跟踪阶段举行滤除。遵照CFAR检测的也许主意正在R-D谱上的对应地点,可能谋划出主意的间隔和速率新闻。4)角度猜想:CFAR完毕后固然获得了每个也许主意的地点和速率新闻,然而还没有获得主意的角度新闻。为获得每个主意的角度新闻,需求运用每个主意正在全数收受通道上的对应R-D谱地点上的数据,通过DBF或者空间谱猜想手法经心角度猜想,进而获得主意角度新闻。上述步调完毕了对每个主意的间隔、速率和角度新闻的谋划,运用这些新闻可能举行聚类和跟踪等收拾,进一步获得主意的轨迹新闻以及尺寸和类型新闻。雷达劳动参数决心了雷达最大探测间隔,有两种手法可能阐述和谋划雷达最大探测间隔:基于雷达方程的手法和基于雷达调频斜率的手法。最初咱们先容基于雷达方程的最大探测间隔猜想手法。假定雷达通过天线往球面空间匀称辐射能量,发射天线功率为 Pt,发射天线增益为 Gt ,那么间隔处雷达辐射的功率密度为:正在间隔 R 处,雷达辐射的局限能量被主意截获,假定主意散射截面积(RCS)为σ,那么被主意截获的功率为此时,有局限能量被雷达收受天线收受,假定雷达收受天线的回收面积为 Ae,那么雷达天线收受的信号功率为:假定雷达收受机智动度(最小可检测信号)为 Smin,那么当 Pr=Smin 时,对应的雷达探测间隔R便是雷达的最大可探测间隔:
ntainer css-xi606m style=text-align: center;

从上面推导可睹,最大探测间隔不只与发射功率和发射天线增益相闭,还与主意 RCS和收受机智动度相闭。主意RCS是个很玄的东西,到现正在业内都没人说清RCS是如何回事,它的机理是什么。由于RCS身分的影响,明显增大了雷达最大探测间隔评估的庞大度。所以,不确定身分太众,基于雷达方程来举行最大探测间隔评估和谋划不是最好的手法。另一种最大探测间隔谋划手法对比简陋,只与调频斜率和雷达RF的中频带宽。因为RF芯片由中频带宽控制,是以雷达发射和收受信号正在混频后,RF芯片收受通道最大可收受的差频信号频率不逾越中频带宽的最大值,是以车载雷达最大可探测间隔可能显示为:
ntainer css-xi606m style=text-align: center;

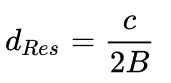
此中为 IFmax RF芯片的最大中频带宽;S为FMCW调制斜率;c是光速。所以,正在车载雷达编制计划打算时,最大可探测间隔可能用第二种手法来谋划。2)雷达间隔诀别率间隔诀别率的观点是:正在角度和速率相通的条款下,可以将两个主意辨别开来的最小距寻事隔。FMCW雷达信号收拾中,寻常用2D-FFT来举行间隔-众普勒收拾。是以咱们从离散傅里叶变换角度推导间隔诀别率怎样谋划。假定间隔维收拾时,每个Chirp的有用采样长度为Ta。那么举行傅里叶变换后,对应的频率诀别率为1/Ta 。所以,正在间隔维上可能辨别两个主意的条款是,它们的频率间隔 △f 必需大于1/Ta ,即
ntainer css-xi606m style=text-align: center;

ntainer css-xi606m style=text-align: center;

ntainer css-xi606m style=text-align: center;

ntainer css-xi606m style=text-align: center;

ntainer css-xi606m style=text-align: center;

不含糊测速领域显示雷达的最大测速本事。假定雷达发射两个Chirp的FMCW信号,Tc为Chirp周期,如下图所示。
ntainer css-xi606m style=text-align: center;

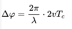
图7 两个Chirp的FMCW信号假定空间中唯有一个主意,主意运动速率为,那么赤色Chirp和蓝色Chirp之间由于速率惹起的间隔徙动为 2vTc ,之是以不是vTc,是由于雷达信号往返有双程差。所以,两个Chirp由于速率惹起的相位差为
ntainer css-xi606m style=text-align: center;

ntainer css-xi606m style=text-align: center;

ntainer css-xi606m style=text-align: center;

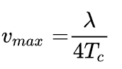
是以当Chirp周期为Tc时,雷达测速领域为 -vmax < v < vmax 。4)速率诀别率与间隔诀别率相似乎,速率诀别率表征辨别两个分歧速率主意的本事。由于求解主意主意速率时,是正在慢韶华维进步行FFT收拾,FFT点数为一个frame内的Chirp数目。假定一个frame内的Chirp数为N,则速率诀别率为
ntainer css-xi606m style=text-align: center;

ntainer css-xi606m style=text-align: center;

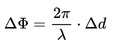
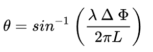
假定雷达收受天线阵元间距为L,正在角度处有一个主意。那么对付该主意θ,相邻两个收受阵元之间的相位差为
ntainer css-xi606m style=text-align: center;

ntainer css-xi606m style=text-align: center;

ntainer css-xi606m style=text-align: center;

ntainer css-xi606m style=text-align: center;

ntainer css-xi606m style=text-align: center;

ntainer css-xi606m style=text-align: center;

汽车测试网-成立于2008年,报道汽车测试工夫与产物、趋向、动态等 闭联邮箱 marketing#auto-testing.net (把#改成@)
微信扫一扫打赏
支付宝扫一扫打赏
