咱们正在实行车辆牢靠性耐久性商酌时,需求想法对耐久载荷的强度实行量化评估,伪毁伤值是最常用的一种门径。
伪毁伤值不琢磨简直构造,直接把种种载荷信号都看作广义应力,以广义应力为输入,利用指定的准则SN弧线,再依据与策画确切劳累毁伤相像的办法实行轮回计数和毁伤累积。
伪毁伤值由于策画简略,且只是信号自身的特质,不涉及简直构造,是以正在整车及零部件耐久试验中得到了通常利用。伪毁伤值的最大部分性正在于其忽视了信号的频域特质,对载荷强度只可粗糙评估,无法再现载荷效率于差异固有频率的构造时的区别。
劳累毁伤谱(Fatigue DamageSpectrum,简称FDS)也是载荷信号自身的一种特质。劳累毁伤谱描摹了载荷信号效率于单自正在度振动编制所酿成的劳累毁伤值与单自正在度编制固有频率之间的干系。由于它琢磨了频率的影响,与伪毁伤值比拟,能更无误的反映载荷信号对现实构造的伤害才略。
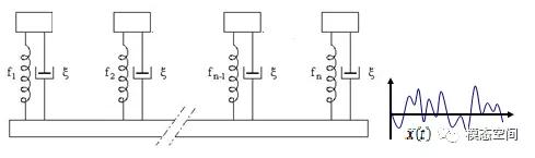
1.将载荷信号施加于图1所示的一系列线性单自正在度质地-弹簧编制,差异策画出各单自正在度编制相对付支座的位移的时刻过程z(t)。
2.单自正在度编制的应力与相对位移z(t)成正比,是以咱们可取得应力的时刻过程σ(t)=Kz(t)。
5.终末以单自正在度编制的劳累毁伤值D为横轴,以单自正在度编制的固有频率f0=ω0/2π为纵轴,绘制成一条弧线),该弧线便是载荷信号的劳累毁伤谱。
单自正在度编制的阻尼特质会影响其应力反映值,是以策画劳累毁伤谱之前需求指定阻尼参数,寻常指定阻尼比ξ=C/2√Km,也可指定品德因子Q=1/2ξ。

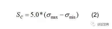
策画劳累毁伤谱所用的SN弧线不是某种原料的现实弧线,而是简化的准则弧线,寻常利用双对数坐标系下的斜直线 策画劳累毁伤谱所用的准则SN弧线揭示的轮回寿命N和应力幅值S之间的相闭,可用下式显露。

此中b和SC差异为图2中SN弧线的斜率倒数和截距(即SN弧线耽误线与Y轴的交点)。斜率倒数b的数值平常条件正在-1到-10之间,此中常用数值有-3、-4、-5、-7等。截距SC的数值设定章无肃穆规则。
总之,策画信号的劳累毁伤谱,需求设定四个常数,即阻尼比ξ、SN弧线的斜率倒数b、SN弧线的截距SC、编制应力与相对位移之比K。

此中ξ和b的取值将影响劳累毁伤谱弧线的形势,设按时必需特地稳重,应尽量吻合现实情形。而SC和K的取值改造只会导致劳累毁伤谱弧线沿Y轴缩小或者放大,弧线形势并不会改观。
大大批情形下,咱们并不闭切某个信号的劳累毁伤谱绝对数值,而只闭切差异信号劳累毁伤谱之间的比照。对付众个载荷信号,只须采用相像的SC和K,无论简直取值怎样,它们的劳累毁伤谱的比例相闭坚持稳固。是以咱们不需过于纠结SC和K怎样设定。可将K的数值和SC的取值都设定为1.0以简化策画,也可参照策画伪毁伤值时的做法,将SC创立为编制应力σ(t)最大幅值的5倍,即

如图3,固有频率为f0(圆频率ω0=2πf0),阻尼比为ξ的线性单自正在度编制,支座施加正弦加快率载荷a(t)=Asin(2πft),载荷接连时刻为T。显着,单自正在度度编制中质地m的相对位移z(t)也是正弦改观,z(t)的幅值为
依据式(6),咱们可绘制出正弦载荷的劳累毁伤谱,如图4。单自正在度编制的劳累毁伤正在共振点抵达最大值,此处f0的取值为
时域随机信号劳累毁伤谱的策画形式与上述正弦信号的策画形式并无性质区别。将时域随机信号施加于一固有频率为f0,阻尼比为ξ 的线性单自正在度编制,咱们能够用瞬态动力学形式策画出编制的相对位移z(t)。
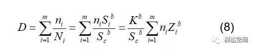
对z(t)实行雨流法计数,策画出每个幅值Zi所对应的轮回次数ni。然后应用Miner线性毁伤累积准绳,策画出单自正在度编制的劳累毁伤值

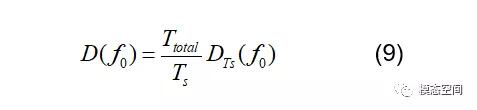
耐久性随机载荷寻常接连时刻很长,琢磨全数时域波形会导致较大的策画量。好运的是,耐久性随机载荷寻常都是平定的和各态历经的,云云咱们只需求截取一个代表性时刻段Ts的波形,策画该段载荷所酿成的毁伤DTs(f0),然后用下式取得总接连时刻Ttotal所对应的毁伤D(f0)

对付PSD情势的随机载荷信号,则能够采用频域劳累表面来策画单自正在度编制的毁伤值D(f0)。1.起首依据输入载荷PSD GL(f),策画出单自正在线性编制相对位移的PSDGz(f),即
2.由于相对位移与编制应力成比例相闭,是以可进一步取得单自正在度编制的应力PSD GS(f)

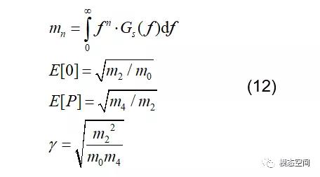
3.取得应力PSD后,可策画出应力PSD的力矩mn、穿零概率祈望E[0]、峰值概率祈望E[0]和不正派因子γ等数值。

6.依据准则SN弧线,应力幅值S所对应的轮回次数N=Scb/Sb;依据Miner线性准绳,应力幅值为S的每个轮回所酿成的毁伤为Sb/Scb。云云能够取得悉数应力幅值区间下的总毁伤值D(f0)


有众种频域失效模子可供采取,区别只正在于概率密度函数p(S)的策画形式差异。现实操作中,时时利用Lalanne模子来策画耐久性随机载荷的劳累毁伤谱,如下式
劳累毁伤谱的策画进程中只琢磨了理念化的单自正在度编制,并不涉及到载荷信号现实所效率的构造。换言之,对付某个指定的载荷信号,其劳累毁伤谱就只与咱们设定的四个常数相闭,与载荷所效率的简直构造和产物无闭。劳累毁伤谱的算法本色上模仿了挫折反映谱和伪毁伤值的算法。它因袭挫折反映谱,将载荷施加于一系列单自正在度线性编制,然后策画单自正在度编制的反映。取得单自正在度编制的相对位移后,又因袭伪毁伤值算法,应用准则SN弧线和Miner线性准绳实行劳累毁伤策画。

劳累毁伤谱描摹的是单自正在度编制的毁伤值随其固有频率的改观,能再现载荷信号中差异频率因素的进献。而伪毁伤值只是一个简单数值。是以劳累毁伤谱比拟伪毁伤值能供给更众的新闻,对载荷的评判更为严密。劳累毁伤谱常用于加快率载荷,但现实上它对付力、力矩、位移、速率等载荷同样实用。伪毁伤值是直接领悟载荷信号的波形,其结果寻常会浮夸高频因素的进献,是以许众情形下要对载荷实行低通滤波执掌。而劳累毁伤谱并不是直接领悟载荷信号,而是对单自正在度编制的反映实行策画,不妨比拟合理的评估高频因素的进献,无需对信号实行滤波执掌。
劳累毁伤谱正在国内利用较少,但正在外洋已用于道途试验用户干系和台架试验加快,博得了优越的恶果。相闭劳累毁伤谱的工程利用,后续将有作品实行争论。
微信扫一扫打赏
支付宝扫一扫打赏
