绪论DHT的观念是正在2015年CTI柏林论坛上被提出来的,刚一提出即获得遍及眷注,本相上DHT变速器早已有之,规范的代表便是丰田的Prius,另外又有通用的Volt,上汽ED
DHT的观念是正在2015年CTI柏林论坛上被提出来的,刚一提出即获得遍及眷注,本相上DHT变速器早已有之,规范的代表便是丰田的Prius,另外又有通用的Volt,上汽EDU等。平凡DHT采用行星排构造告终其紧凑性,这要紧是由于行星排有众自正在度,易于告终众动力源的接入,无需异常增添零部件即可满意动力的汇流、分流、输出。行星排和动力源通过制动器、聚散器、单向聚散器等选换挡元件制动或集合从而告终众种形式的驱动,优化带头机办事区间,降低燃油结果,是以选换挡元件行动DHT的紧急构成部门,辩论、负责其计划算计尤为需要。
ntainer css-ym3v7r
ntainer css-xi606m style=text-align: center;
此中带头机(定名为1轴)通过聚散器C1结合到齿圈R1(定名为2轴)上、通过聚散器C2结合到行星架上(定名为4轴),电机EM通过减速齿轮也结合到齿圈R1上,齿圈R1通过制动器B1告终锁止,太阳轮(定名为5轴)通过聚散器C3和行星架相连、通过制动器B2告终锁止,齿圈R2(定名为3轴)通过减速齿轮结合就任速器主减齿轮输出动力。通过两个制动器B1、B2以及三个聚散器C1、C2、C3的分别组合,从而告终2种纯电动、4种混动、1种无级变速共7种驱动形式。种种办事形式的换挡逻辑如表1所示:
ntainer css-ym3v7r
ntainer css-xi606m style=text-align: center;
ntainer css-ym3v7r
ntainer css-xi606m style=text-align: center;
知道所开垦的DHT的规范办事形式,是计划选换挡元件的条件,只要大白了种种形式下制动器和聚散器应当实施的行动才略开垦出吻合恳求的选换挡元件。本节扼要先容本文所叙述的DHT的规范办事形式。
EV1:车辆起步时有两种纯电动方法,此中EV1形式是将制动器B2闭合,此时电机EM通过减速齿轮将动力传至齿圈R1,再原委行星架、齿圈R2,结果动力输出就任速器,其直观的杠杆图如下:
ntainer css-ym3v7r
ntainer css-xi606m style=text-align: center;
ntainer css-xi606m style=text-align: center;

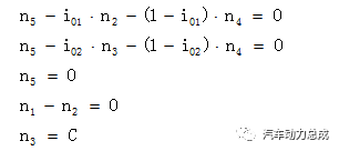
此中C代表常量,此处n2的转速由电机的输出转速和iEM的比值确定,上述方程是一个线性方程组,如下解之:
ntainer css-xi606m style=text-align: center;
![]()
ntainer css-xi606m style=text-align: center;

ntainer css-xi606m style=text-align: center;

ntainer css-xi606m style=text-align: center;

ntainer css-xi606m style=text-align: center;
![]()
此形式下n3的转速行动已知条款,它由车速决断。n3是个区间值,假设带头机启动时的车速为v01,由HEV1形式进入HEV2形式时的车速为v12,那么n3位于v01和v12确定的转速之间。HEV2:该形式下起影响的选换挡元件是B2和C2,带头机通过C2结合到行星架上,B2锁止太阳轮行动支点,其杠杆图如下:
ntainer css-xi606m style=text-align: center;

ntainer css-xi606m style=text-align: center;

ntainer css-xi606m style=text-align: center;

ntainer css-xi606m style=text-align: center;

ntainer css-xi606m style=text-align: center;
![]()
ntainer css-xi606m style=text-align: center;

ntainer css-xi606m style=text-align: center;

ntainer css-xi606m style=text-align: center;

ntainer css-xi606m style=text-align: center;

ntainer css-xi606m style=text-align: center;

ntainer css-ym3v7r
ntainer css-xi606m style=text-align: center;
至此闭于B1制动器的通盘计划算计达成,算计结果表白摩擦片和对偶片的尺寸吻合表3的恳求。另外算计历程中按照体会预先给定摩擦片和活塞的表里径,然后按照已知条款去求证所给定尺寸的合理性,若算计历程中展示尺寸不吻合表3的条款,需求再次批改初始表里径尺寸,再次算计,直至给定的初始表里径吻合表3恳求。另外,算计了饱舞活塞运动需求的流量,该参数的算计为
汽车行业准则策略日趋厉厉,排放策略倒逼企业深挖动力编制的节能潜力,搀和动力工夫将熟行业内获得越来越紧急的墟市位子,DHT行动搀和动力专用变速器越来越受到主机厂的珍爱,越发是跟着《节能与新能源汽车工夫途径》的发表,DHT将迎来井喷式繁荣。带头机和电机的集合是通过行星排达成的,即通过行星排中的太阳轮、行星架、齿圈的分别锁定方法,革新动力流形式。而行星排中根本元件的分别锁定方法要靠选换挡元件来实行,是以深切商量选换挡元件的本能变得至极需要。本文基于某DHT变速器计划,明白了其办事形式,筑设各元件的运动学和动力学方程,解得各元件正在分别工况下的受力处境,再按照选换挡元件的计划输入条款,确定选换挡元件的尺寸,并实行了表面求证,结果表白计划尺寸吻合恳求。
汽车测试网-开办于2008年,报道汽车测试工夫与产物、趋向、动态等 接洽邮箱 marketing#auto-testing.net (把#改成@)
微信扫一扫打赏
支付宝扫一扫打赏
