丰田建立自动驾驶汽车设施来测试边缘情况
丰田汽车周四体现,它将正在密歇根州筑制一个封锁式测试方法,用于其自愿驾驶汽车时间,该时间将复制正在民众道途上行…
追踪韩国政府升级正常车辆测试
2012年1月2日,2012年1月1日,2012年1月1日,2012年1月1日,2018年1月1日,2018年…
天检新能力,移动式可转向轴耦合测功机及整车在环测试系统
日前,中汽中央检测认证职业部天津磨练中央(以下简称“天津磨练中央”)创办了国内首套可转向转移式轴耦合测功机及整…
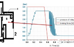
以商用车制动阀为例,讨论零部件及整车企业如何灵活应用Amesim进行建模
参会过Amesim相干先容的用户,应当对下面这张图都有印象,左图是某斜盘柱塞泵的元件级模子,右图是某农用车动力…
