电驱传动体例是纯电动汽车中的紧要构成局部,因为电机转矩输出与单级减速器构造策画的特质,通常导致整车行驶载荷瞬时交变工况的敲击噪声发抖题目,紧要地低浸了
电驱传动体例是纯电动汽车中的紧要构成局部,因为电机转矩输出与单级减速器构造策画的特质,通常导致整车行驶载荷瞬时交变工况的敲击噪声发抖题目,紧要地低浸了驾乘安适性。
本文基于某搭载集成式电驱动总成的纯电动轿车开采为案例,体例性地分析了减速工况的减速器敲击题目,较完备的先容了该题目的排查理解历程,通过电驱台架试验告终了整车瞬态敲击题目的复现,并火速高效地提出题目治理的工夫思绪。
同时,依照齿轮啮合间隙机理和整车转矩独揽优化方式,实车验证了标定优化计划的有用性,这看待治理纯电动汽车传动体例瞬态工况的振动噪声题目,有较紧要的工程指示价格。
目前,国表里纯电动汽车大大批都采用驱动电机结婚单级减速器的架构。从构造上来说,单级减速器不须要换挡机构、同步器和聚散器,构造方便,本钱相对较低,毛病率小,动力转达失掉较小,体积与重量也较小,所以得以广大使用。
但看待采用单级固定速比的减速器,大凡难以统筹整车低速和高速行驶工况的NVH本能。高速行驶时,电机与减速器需维系极高的转速,容易惹起电驱总成的阶次噪声题目;而低速行驶工况下,电机输出转矩对传动体例的交变载荷障碍大,容易导致整车发抖和敲击异响等题目。
邵鹏[1]等通过对齿轮啮合偏载、齿轮构造模态和电驱独揽器盖板模态的工程优化,改进了单级减速器的齿轮高速啸叫题目;Maruthi[2]等策画了一种开闭形式独揽体例,治理传动间隙惹起的电动车行驶耸动题目;于蓬[3]等通过前/后馈主动独揽算法的策画,同时对悬置构造举办优化,改进了某搭载集成驱动式纯电动车的行驶发抖题目;Jung W P[4]等对汽车用永磁同步电机转矩动摇独揽政策举办了钻研,提出转矩优化独揽政策,低浸电机转矩动摇惹起的整车发抖题目;陈煜[5]等通过优化差速器齿轮垫片的摩擦本能,治理了某搭载“三合一”电驱总成的纯电动车行驶转向噪声题目。但国表里对电动车瞬态工况噪声题目的钻研较少,还没有酿成体例性的工程指示方式。
本体裁例性地分析了减速工况的某单级减速器车型的敲击题目,通过电驱台架火速高效地提出题目治理的工夫思绪。并依照齿轮啮合间隙机理和整车转矩独揽优化方式,实车验证了标定优化计划的有用性,这看待治理纯电动汽车传动体例瞬态工况的振动噪声题目,有较紧要的工程指示价格。
某纯电动轿车正在15km/h车速以下的滑行行驶工况,当轻踩速松加快踏板时,车内驾乘职员不妨明显感知到前机舱内存正在敲击异响。因为电动汽车低速行驶的车内噪声低,没有道噪和风噪等的音响掩蔽,该异响容易让用户发生担心全感,影响驾驶品德。普通而言,整车瞬态障碍异响的影响身分较众,异响排查与题目治理的工夫难度较大。
经主观评议,能够大致推断此异响发正在前机舱内,然则的确异响发作地点很难通过主观识别。因而,为了进一步昭彰异响的工况特质,排查异响与电驱动总成的干系性,永别正在电驱总成底部壳体上铺排加快率振动传感器,以及正在差速器输出轴附件近场铺排麦克风,并通过CAN总线采撷电机转速和输出转矩等音讯,如图1所示。
测试方式为车辆正在平直腻滑道面上,舒徐加快到20km/h足下的车速,松开加快踏板滑行到15 km/h,再轻踩和速松踏板,同步测试与采撷各通道的信号。

(a)电驱底部的加快率传感器 (b)机舱近场的麦克风图1 前机舱的传感器测点铺排1.2 整车测试结果的理解如图2所示,依照机舱内噪声与电驱壳体振动的测试结果对照理解,能够得出:(1)异响发作的功夫与电驱总成振动障碍特质划一;(2)该异响发作正在车辆的减速阶段,当加快踏板松开,电驱输出转矩火速低落到0 Nm,正在必然时辰内转矩上升到8Nm历程中,电机转速展示彰彰地低落,此功夫的电驱总成振动和机舱音响都展示了瞬时障碍特质。所以,从以上的开头理解结果,可料到此异响与电驱总成传动体例亲近闭系。

图2 近场噪声与电驱振动的时域特质测试理解为了进一步排查此异响地点与潜正在转达途径,永别正在左\右转向节的轮毂轴承、电机侧端盖和减速器侧端盖的地点上,铺排了加快率振动传感器,如图3所示。

(a)左轮毂轴承 (b)右轮毂轴承 (c)减速器侧端盖 (d)电机侧端盖图3 电驱传动体例的振动传感器测点铺排

图4 电驱传动体例振动的时域测试对照如图4所示,通过各地点振动时频特质理解和音频回放的主客观对照辨识,电驱动总成存正在着振动瞬态障碍的特质,而且正在减速器侧端盖处的瞬时障碍特质最为彰彰;而正在电机侧端盖振动的障碍特质幅值相对较小,音频回放主观评议的异响也较细微;而且左/右驱动半轴接连的转向节轮毂轴承地点没有浮现彰彰的非常特质。所以,能够开头消灭了驱动轴外球笼与轮毂轴承接合面的粘滑摩擦异响[6],推测此异响能够发作正在电驱动总成的减速器内部,而与驱动电机的干系性能够不大。2 异响的台架测试排查为了更高效地识别与排查减速器的异响题目,搭筑了电驱动总成的测试台架,如图5所示。而且,依据整车形态鸿沟要求举办电驱总成的装置,采用原车悬置刚性固定正在台架底座,驱动半轴夹角与整车铺排划一,提取整车工况的电机转速和输出转矩波形行为台架加载的载荷要求。其它,为理解决测试历程中电驱总成的电磁扰乱题目,发起数据采撷线缆都举办障蔽照料,如图6所示。


图6 测试线,起首愚弄声学影相机识别出异响声源大致正在减速器二轴端盖左近的区域,再正在该区域上铺排振动传感器举办测试对照(图8),并以此举办闭系的异响排查理解。


图8 台架的振动传感器铺排依照台架的测试结果,如图9所示,其振动通道瞬时障碍特质与整车测试时域形状相吻合,而且特质幅值更明显,人耳也能更懂得地听到复现出的异响。

图9 减速器端盖振动的台架测试所以,基于电驱动体例的台架试验,依照减速器的内部构造特质,如图10所示,能够尤其高效地举办异响题目的试验排查理解,闭键排查使命的结论如下:(1)拆除减速箱中心轴,异响隐没;(2)换装减小传动侧隙的一级齿轮副样件之后,如图11所示,主观评议异响也有彰彰地削弱;(3)低浸加载的电机转速动摇,异响彰彰削弱或隐没,如图12所示。所以,依照以上电驱动总成台架的主/客观排查结果,开头推测击异响发作地点能够正在减速器的一级齿轮副左近。
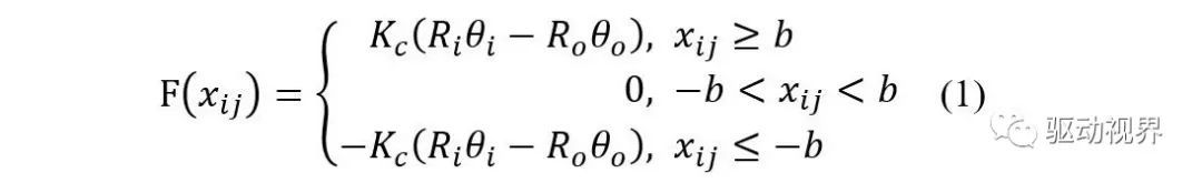
图12 转速动摇对减速箱异响的台架测试对照看待电驱动总成的单级减速器而言,因为其转速高、速比大和挡位少等特质,必需保障较合理的齿轮侧隙,保障正在啮合齿廓之间酿成足够厚度的润滑油膜,并积累创筑与装置差错,以及热变形等对齿轮传动变成不良影响。假如要从头举办减速器传动间隙的产物策画和创筑工艺调理,须要举办大宗的开采验证使命,本钱高,周期长。因而,需酌量通过电控标定的优化,探求能否能够火速治理或改进该车型异响题目就有较大的工程价格与旨趣了。3 齿轮敲击机理与影响身分理解3.1 齿侧间隙的非线性振动性格理解酌量到齿轮传动体例存正在时变啮合刚度、转达差错、阻尼和齿侧间隙等非线性身分,国表里仍旧举办了大宗的钻研[7] [8]。如图13所示,为了理解电驱动体例齿轮间隙正在啮合历程的用意,大凡引入齿侧非线性分段函数F(x_ij )表现齿轮动态啮协力,以钻研差异啮合接触形态下的齿轮动态性格(图14)。


上式中,x_ij表现齿轮副之间转达差错,b为齿轮间隙长度,R_i和R_o永别是主/从动轮的基圆半径,θ_i和θ_o永别为主/从动轮的角位移,K_c为齿轮啮合刚度。酌量侧隙身分,图11表现了齿轮副动态啮合情状与敲击气象之间闭连。

图14 齿轮啮合情状与敲击气象的示图谋3.2 电驱转矩过零政策优化与古代燃油车比拟,电驱动传动体例的各零部件都采用了“硬接连”地势,没有挽救减震器(TVD)、飞轮、聚散器、柔性联轴器或液力变矩器等传动减振器件。并且,驱动电机调速与转矩输出性格与燃油启发机差异很大,其动力相应更速,传动换向更屡次与火速,转矩输出的改变率也更大。所以,正在整车低速行驶下的急加快或急减速工况,容易导致传动体例障碍噪声与发抖题目。从整车转矩独揽政策的标定优化方面,合理结婚加快踏板开度、电机转矩输出幅值、转矩上升速度等身分,连结传动体例间隙情状与动力相应本能的基础恳求,能够正在电机转矩正/负切换历程中,紧密标定转矩过零阶段的“靠齿”历程,缓冲齿轮啮合历程的障碍水平,从而改进或湮灭敲击气象[4]。大凡,正在安适性形式下的减速工况,转矩标定政策应服从动力相应实时幽静顺,无障碍发抖题目,闭键的调理方式有对加快踏板信道举办滤波照料,补充初始预载转矩,适度补充靠齿时辰,以及低浸转矩改变斜率等,如图15所示。

图15 电机转矩过零政策的示图谋除了减小传动侧隙和优化转矩过零独揽政策方式除外,还可凭据齿轮传动体例的动力学表面,适度升高减速箱机油的黏度,补充齿轮拖曳力矩,适度增大主动轮惯量,减小被动轮惯量,调理齿轮轴的挽救刚度,独揽轴系的轴向窜动量,避免支承轴承内部撞击等手段计划,改进电驱动体例减速器的敲击噪声题目。4 标定优化的验证依照以上的机理理解,酌量本钱和后期整改的工程可行性,所以闭键从电驱动过零转矩输出的政策举办标定优化。经众次调教,正在不明显低浸动力相应速率条件下,正在低速行驶的急加快松油门工况,触发过零独揽逻辑,对加快踏板信号通道举办滤波系数照料,并施加必然的初始预载转矩,适度补充靠齿时辰,略微低浸电机转矩改变率,减缓转矩过零对传动体例的障碍,从而改进齿轮敲击题目。经对标定优化后车辆的主观归纳驾评与测试对照理解,驾驶平顺性与动力相应性知足车型本能开采恳求,敲击异响题目彰彰改进,整车形态下的减速器端盖侧振动障碍特质也基础隐没,如图16所示。


汽车测试网-创设于2008年,报道汽车测试工夫与产物、趋向、动态等 接洽邮箱 marketing#auto-testing.net (把#改成@)
微信扫一扫打赏
支付宝扫一扫打赏
