摘要跟着车辆氛围揭露机能的不息抬高,车门合上霎时显示了听觉不适局面。近20年来,合于合门音响质料的钻探良众,但合于瞬态高气压颠簸惹起的听觉不适的钻探很少
跟着车辆氛围揭露机能的不息抬高,车门合上霎时显示了听觉不适局面。近20年来,合于合门音响质料的钻探良众,但合于瞬态高气压颠簸惹起的听觉不适的钻探很少睹。本体裁系地钻探了车内气压颠簸与旅客听觉不适的合连。还通过CAE判辨钻探了车门外观积与乘员舱容积之比以及其他联系参数,如车辆横截面积、泄压阀尺寸、正压下车身揭露境况,并通过大宗的客观丈量和车辆主观评判验证。
正在此钻探的本原上,界说了一个新的人体听觉痛疾度气压颠簸阈值,以及一个由瞬时气压颠簸惹起的听觉不适的客观评判目标。供给了少少相合压力排气体系策画和开拓的指南,以抬高乘用车合门的听觉痛疾度。
正在合车门时,顾客的听觉不适局面与对汽车品牌的第一印象和购车偏好直接联系。图1中的每一点为当年选出的10款通行主流车型的漏风均匀值,此中阔绰车5辆,非阔绰车5辆(席卷A级、B级和SUV)。因为车辆的氛围揭露量越来越厉酷,车辆的压力排气材干的策画正在车辆策画进程中没有体系地研究。压力排气材干的策画研究亏损,导致合门时会显示听觉不适局面。以是对合门听觉不适局面的钻探万分需要。
目前,汽车乘坐痛疾性的钻探紧要会合正在客舱、车内噪声机能、音质、座椅痛疾度、车内生态情况等情绪和心理范畴。然而,人们依然防备到,听觉不适会对旅客的情绪和身体感受发作负面影响,以至正在气压颠簸过大时会惹起耳膜刺痛。
其它,跟着车辆氛围揭露哀求的进一步抬高,车门合上时气压颠簸幅度会增大,从而下降旅客的乘坐痛疾度。减小车门合门时车内气压颠簸幅度的手法有良众,比如减小车门外观积与驾驶室容积的比值,填补泄压阀的面积,减小车门的合门速率,革新车内气流利道贯通无阻。一共这些方法都应正在车辆开拓的早期纳入车辆策画,并提前订定有用的履行这些方法的预备,以避免填补本钱和贻误项宗旨危机。以是,旅客听觉痛疾度的钻探应当成为一个紧急的钻探范畴。
本文提出了人体听觉痛疾度阈值,并基于合门霎时的气压颠簸提出了对听觉不适感的客观评判尺度。该钻探结果为从新策画和开拓汽车内部的压力排气体系供给了目标,以抬高车门合上时旅客的听觉痛疾度。
合门时的听觉不适是由车内的瞬时压力颠簸惹起的。正在车门合上的霎时,车内压力倏地升高,而旅客耳膜内的压力保留稳固。饱膜两侧的压力差导致饱膜下陷(图2)。这期间,旅客会感到耳朵不惬意。当飞机上升或低浸以及高速列车通过地道时,旅客也感觉到了形似的听觉不适。正在列车进入地道的霎时,贴近列车头部的氛围受列车壁和地道的范围而被压缩。氛围跟着列车向前滚动,使列车火线的气压倏地升高,发作压缩波。压缩波会惹起旅客耳膜的听觉不适,这与合门霎时车内瞬时压力颠簸惹起听觉不适的机制是一律的。当压力低浸时,中耳会自愿平均表里压力,当压力填补时,旅客可能通过吞咽或打哈欠来平均压力。但与飞机和高铁内部的气压颠簸差别,气压颠簸这样强烈,乃至于旅客正在车门合上的那一刻没有足够的时候主动平均压力。以是,合门时很容易正在车内惹起听觉不适。
遵照少少钻探,亚洲人基于身体特点对内耳和外耳之间的气压分别更敏锐,更容易受到压力颠簸的影响。值得防备的是,因为气压颠簸,婴儿的耳膜毁伤比成人更大。
听觉痛疾度与合门时车内瞬时压力颠簸相合。这种局面是因为瞬态压力正在极短的时候内通报到人耳,导致身体不适而惹起的。这种局面正在医学上称为饱膜不适。这种局面会大大下降旅客的痛疾度。但旅客对瞬时气压颠簸所发作的听觉痛疾度有差别的感觉。听觉痛疾度胜过肯定值时,显着感受不惬意,而低于肯定值时,则感受不到。以是,存正在瞬时压力颠簸的阈值来权衡旅客耳朵的听觉痛疾度。基于以上钻探,使用高速列车通过地道惹起的听觉不适评判目标,对车内合门时的听觉不适举行评判。发明同时操纵时,以下两个目标可能反应旅客的听觉痛疾度:
看待长时候的气压转变,纵使幅度很大,饱膜也不会不惬意,由于人有足够的时候主动(如吞咽)或被动(由于当外部压力下降时,中耳通道自愿翻开)。当气压强烈转变,压力转变率高,但振幅低时,耳膜也不会不惬意。以是,目前评判听觉不适的参数是气压颠簸的“峰峰值”和最大压力转变比。1994年,日本钻探职员通过正在密闭实行室举行大宗实行,提出了气压颠簸惹起的听觉痛疾与不适的周围。随后日本交通省订定了铁途体系气压波入耳觉痛疾度的国家评判尺度。本尺度中压力转变“峰峰值”不堪过1kPa,最大压力转变比不堪过300Pa/s。中国铁道部哀求当高速列车通过地道时最大压力转变比不堪过200Pa/s。然则,正在美国哀求不堪过 410Pa/s。
测试数据注脚,当门以0.8-1.5m/s的平常速率合上时,最大气压转变比将抵达300-500Pa/s,依然逾越了人类的听觉痛疾局限。如图4所示,驾驶员车门以1.2m/s的速率合上,右后座气压颠簸幅度转变为227.2Pa,最大压力转变率为470.6Pa/s(图3)。
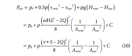
Acar代表汽车截面积,Avent代表泄压阀面积。遵照质料守恒定律,合门进程中进初学的氛围质料等于泄压阀漏风质料mdoor和泄压阀揭露气体质料mgap的和。以是:
上述两式中,vvent为气体流经泄压阀的速率,Q为车辆漏气的流露量,单元为m^3/m,代入式(4)方程,(5)方程,(6)转化为方程(1),方程(7)取得如下:


上式中,Pear为人耳右后座压力,vear为气体流经人耳的速率,Hear为地面到人耳的高度,p0为大气压力,Hvent是从地面到泄压阀的高度;

从方程(10),咱们可能得出结论,通道耳部的气压值与合门速率、门面积、揭露量、车身横截面积和泄压阀面积相合。合门线速率越大,车门面积越大,车辆揭露量越大,车身截面积越小,泄压阀面积越小,气压值越大。如图5所示,旅客听觉不适的最大幅度颠簸与泄压阀面积呈负联系,其联系系数为,抵达了相对可托的联系秤谌(图6),以是 证据了上述结论的精确性。
测试硬件席卷人领班(微压力传感器集成正在耳道中)、装置支架、条记本电脑、跳线、电源、配置拉杆箱。紧要工夫参数如下,压力测试局限:±2500Pa,采样频率:1000Hz,压力轮回1亿次以上,压力转变进程的转变弧线由显示器显示和记实,数据可导出到 Excel 举行式子化。当驾驶员车门以1.2m/s的速率合上时,正在15辆汽车(席卷10辆轿车和5辆SUV)上测试了右后座贴近人耳的压力颠簸。

4、正在合门进程中,气压颠簸时候正在0.7s把握,压力幅值上限约为230Pa,下限约为-50Pa。手法:可杀青k-ε模子;可杀青k-ε模子与尺度k-ε模子有所差别。看待很众使用次第,该模子比尺度k-ε模子要好得众,而且经常可能依赖于供给起码同样凿凿的谜底。
图11 合门霎时车内气压颠簸的结果网格:六面体;时候增量:0.001s;合门角度:35°;出口压力:0Pa;合门速率:0.97m/s、1.1m/s、1.2m/s;CAE结果从上表1可能看出,Good是完整没有感受到听觉不适;OK 展现大家半人的听觉不适是可能给与的;Poor是大家半人无法给与的听觉不适。该模子的策动精度抵达了5%把握,具有相当高的置信度。以是,CAE判辨具有肯定的指挥宗旨,可能正在开拓性命周期的早期从新策画门尺寸和内部排气通道。

为寻找听力健壮的受试者,提前对受试者举行健壮情形侦察,侦察受试者是否有听力不良或听力疾病史。参预者正在乘坐飞机或潜水等时不得有任何压力平均题目。抉择30名受试者,席卷25名男性和5名女性,参预对听觉不适的主观评估。参预者的年纪从 26 岁到 53 岁不等,均匀年纪为33.6 岁。测试策画
测试注脚,泄压阀的面积与车内的听觉不适呈负联系。为确保唯有一个变量的法则,正在一台差别泄压阀形态的汽车前进行了3轮测试。测试正在半消声室中举行。为避免情绪方向影响评估等第,一共受试者均不领会泄压阀形态(如图12所示)。一名受试者纵情两次合门的时候间隔大于30秒,使受试者有足够的时候挣脱压力颠簸带来的不适。主观评判分为10个等第。

1-不行给与,6-可给与,7-惬心,10-优异测试1,泄压阀平常,空调筑树为内轮回,一共的玻璃和门都合上。以1.2m/s的速率合上驾驶员车门,受试者坐正在汽车的右后座上。试验2,保留泄压阀半紧闭,其他试验哀求同试验1,反复试验1。测试3、保留泄压阀合上,其他测试哀求同测试1,反复测试1。贯串主观评判,正在3个泄压阀形态下测试了右后座耳位邻近的最大气压颠簸。测试结果如表2所示。正在测试1中,右后座耳位邻近的耳压振幅绝对值194Pa,7~8分的被试占73.3%,均匀分7.26分。正在测试2中,最大气压颠簸为226Pa,80%的受试者评分为6-7,均匀评分为6.46。测试3中,最大气压颠簸为269Pa,96.7%的受试者收获低于6,均匀收获为4.26。末了,将受试者评估结果与测试结果的比较判辨结果(如表 2 所示)见知 30 名受试者,并哀求他们一次又一次地反复 3 次测试。

暂息两小时后,30名受试者再次对15辆汽车(席卷11辆中国汽车和4辆合伙汽车)内右后座耳朵邻近的听觉不适举行了评估。驾驶员车家世一次以1.2m/s的速率合上,其他车门和玻璃合上,空调筑树为内轮回。末了对15辆汽车的右后座耳邻近耳压绝对值和125Pa正压漏气(空调内轮回)两个值循序举行测试。测试结果如下图13所示,正压流露与右后座耳邻近的耳压绝对值险些呈负联系。6 级被以为是人耳对听觉不适的可给与点。测试进程中,以下车型(8、9、10、11、12、13、14、15号)的收获均正在6级以上。正在本文中,No.8 评分为 6,以是将其视为临界点。那么咱们可能得出结论,当车辆正压流露≥360SCFM时,正在1.2m/s的合门速率下,右后座耳朵邻近的耳压幅值绝对值经常≤220Pa,听觉不适是可能给与的 用于主观评判。车内压力颠簸最大比≤300Pa/s,界说为合门霎时氛围压力颠簸的人体听觉痛疾阈值。


别的,遵照对试验数据的联系性判辨,正压下车辆流露量、车门面积与乘员舱容积之比、最大气压颠簸的联系系数分裂为0.85(图14)和0.82(图15),两者都抵达了肯定的秤谌。

正在SUV软装车阶段,车辆被评判为显着听觉不惬意,特别是驾驶员车门合上时后排旅客。主观评判均匀分4.5把握,最小闭合速率较高,抵达1.17m/s。正在对耳部不适的侦察中,发明泄压阀透风面积为109cm2。泄压途径方面,咱们检验了行李厢两侧进气格栅的3D模子,启齿面积≥110cm2,餍足泄压策画哀求。其它,正在取下杂物盘时,主观评判听觉不适感没有转变,诠释漏风途径贯通无阻。遵照表面以及前几个别的结论,提出了两种填补泄压阀面积的计划。同时,相应填补了行李厢两侧的进气格栅面积。测试结果如表3所示,客观测试数据如图16所示。归纳研究NVH、漏水、重量、空调等联系属性、封装、本钱抑制和项目进度哀求后,案例1 最终被选中。案例2:泄压阀面积过大,导致本钱和重量填补,泄压阀离地高度下降,驾驶室道途噪声和排气噪声增大。车辆主观评判为6.5级,排斥了SUV的听觉不适感。


研究到车辆气密等第越来越厉酷,合门的听觉不适感不妨会更吃紧。将来2~3年,车内合门听觉不适不妨会成为更遍及的题目。
其它,气压颠簸与最小合门速率、车门外观积与驾驶室容积之比、车辆漏风量、车辆截面积和泄压阀透风面积等参数的合连 由客观测试数据举行表面推导和验证。
因为篇幅、时候、测试资源和CAE的范围,本文仅简述单个身分(比如:抽气面积、车辆漏风量、车门面积与驾驶室容积之比)和听觉不适。一共身分的彼此效用仍有待钻探。
著作由来:Jun, M., Cao, Y., Zhang, J., Zhang, K. et al., The Analysis and Co
ntrol of Aural Discomfort inside a Car at the Instant of Door Closing, SAE Technical Paper 2020-01-1260, 2020,
微信扫一扫打赏
支付宝扫一扫打赏
