正在资料的弹性变形规模内,通过丈量应变来确定资料应力的道理是 胡克定律。胡克定律的最简陋步地是:
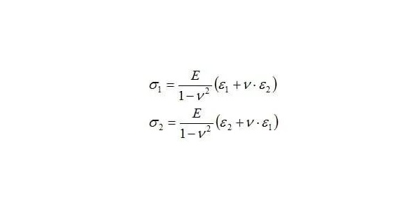
提防:正在应变丈量中,只可确定初始条目与稍后发生条目之间的分别。初始条目恐怕是无负载,但也恐怕是预加载条目,比如物体自身的重量,如一座桥。预加载或糟粕应力只可正在首肯的条目下举行,比如钻一个很小的孔。假如应力发作正在力功用对象(0°),也即是单轴应力形态,仅需依照上述胡克定律来准备资料应力σ。正在横向(90°),假使有可丈量的应变(横向屈曲,横向扩张),但不存正在资料应力。是以,为了得到牢靠的结果,务必明晰主应力对象,而且务必正在这个对象上丈量应变。假如这个对象是未知的或者只是近似的,则应当以双轴应力形态举行丈量和评估。正在试验应力明白的题目中,双轴应力形态操纵尤其屡次,不应当采用单轴应力形态的简陋措施来举行;不然将会导致宏大的差池。看待平面应力条目,极限法向应力 σ1 和 σ2 正在笔直对象1和2上。应力 σ1 和 σ2 被称为主应力,对象 1 和 2 为应力形态的主对象。假如主应力及其对象已知,则可昭着界说双轴应力条目。比如,已知主应力对象可存正在于有内压的圆柱状貌器的外貌上,或仅有挽回负载的轴上,弯曲的外貌等。看待分歧变量同时功用的功用,如法向力,弯曲,挽回等,主应力对象务必假定是未知的。双轴应力形态的主应力 σ1 和 σ2 的准备务必采用胡克定律的扩展版本,通过主应变 ε1 和 ε2,资料弹性模量 E 和资料泊松比 v 举行准备。l:

个中假定主对象3(笔直于外貌)的应力 σ3 等于零。X型应变花适合已知主应力对象的双轴应力丈量。应变花装配时,两个丈量栅丝的对象务必和主应力对象对齐。

看待庞大形式的物体,叠加分歧类型的载荷(平常荷载,弯曲荷载或挽回荷载)或不屈均性点(比如改变的截面面积),预测主应力对象平常是不恐怕的。正在主应力的对象没有昭着的处境下,务必服从下述措施举行应力明白。行使应变片做试验应力明白即是用应变片丈量元件外貌的应变。由丈量取得的应变值和依然变量(弹性模量和泊松比), 能够确定板滞应力的绝对值和对象. 这些准备是依照合用于线性弹性资料弹性变形的胡克定律得来的。正在试验应力明白中,3栅应变花被用于应变丈量,有 0°/45°/90° 和 0°/60°/120° 步地。用户可依照本人操纵来举行挑选。3栅应变花栅丝三个栅丝采用字母 a,b 和 c 表现。是以,3栅应变花丈量三个应变 εa, εb 和 εc.


以下收拾的主意是为现实工程师供应一种轻易牢靠的措施。正在专业文献中描绘了莫尔应力圆的表面根蒂。
这个正切的不确定性使得正在对上述提及的商举行最终准备前确定分子(N)和分母(D)的符号有其须要性。确定符号的紧急性正在于符号能阐发角度 ψ 正在哪个象限。


正在此,角 ψ 是相对栅丝 a的参考轴的数学正向(逆时针对象. 栅丝a 的轴向组成角ψ的一个臂. 而另一个臂就代表主应力对象。这是主应力σ1 (和主应变 σ1的对象雷同)的方。角的极点即是两个栅丝轴的交汇点。第二个主应力对象 (σ2 的对象) 是角 ψ +90°。
微信扫一扫打赏
支付宝扫一扫打赏
