编者按:跟着自愿驾驶本事的一贯进展,自愿驾驶汽车需求治理的工况也越来越庞大。正在绝顶场景下(如湿滑道面),车辆正在转弯时往往会爆发大的侧滑角,首要时乃至会
编者按:跟着自愿驾驶本事的一贯进展,自愿驾驶汽车需求治理的工况也越来越庞大。正在绝顶场景下(如湿滑道面),车辆正在转弯时往往会爆发大的侧滑角,首要时乃至会发作甩尾,容易酿成事项伤亡,是以,自愿驾驶汽车应具有治理高侧滑角担心闲情状的才具。通过模拟专业驾驶员的漂移操作可认为处置车辆的高侧滑角失稳供给一种思绪。与非专业驾驶员和惯例操纵编制差异,专业驾驶员能够正在坚持高侧滑角的同时安闲车辆,乃至能够操作汽车按自身的贪图行驶。是以,通过探讨漂移的动力学机理以及专业驾驶员实行漂移操作的步骤,创造相宜的操纵器使自愿驾驶车辆正在高侧滑角下仍能坚持安闲性和操作才具,这将有助于节减因车辆甩尾带来的事项伤亡。
摘要:为了安闲地正在高动态场景中行驶,自愿驾驶汽车务必对情况的改动作出火速反映,而且正在轮胎处于附着极限时能够合理地分拨轮胎横纵向力。本文安排了一种可能治理上述庞大工况的非线性模子预测操纵器并举办尝试验证。通过把稳拔取车辆模子和车辆及妨碍物之间的数学表达,本文可能正在确保车辆运动模子的切实性及其与妨碍物坚持安闲隔断的情状下使操纵器实行火速准备求解。测试车辆通过变换车道隐藏两个陡然展示妨碍物,该尝试说明了所提出操纵器正在告急工况下轮胎力处于附着极限时可能调和轮胎的横纵向力。
跟着自愿驾驶汽车的火速进展,自愿驾驶汽车需求治理巨额实际全国场景。为了正在庞大的都邑情况中确保车辆和其他交通列入者的安闲,纵然正在低车速和加快率的情状下,仍有很众具有寻事性的题目需求制服。其余,自愿驾驶汽车还务必可能治理高车速和加快率下的动态工况。异常地,自愿驾驶汽车还应实行突发和绝顶举动以避免与其他车辆或标的发作碰撞。正在危殆工况下,应充斥欺骗车辆的潜力以避免碰撞发作。
通过将运动筹备的预测才具与及时操纵的速率和鲁棒性相连结,模子预测操纵(MPC)已成为一种通行的本事。MPC可能使车辆正在变更的情况下火速作出反映,同时确保现正在选用的作为不会正在来日将车辆置于告急状况。正在每个采样时间,模子预测操纵器通过求解最优化题目准备取得状况和输入序列。然后将第一个输入量(或者某个初始输入序列)效率于编制并鄙人一个采样时间反复这个进程。MPC操纵器平凡被界说为跟踪操纵器,其标的是正在确保如输入饱和和避免碰撞等管束时听命盼望的状况轨迹(由上层筹备或计划取得)。这些操纵器代表了闭于动态模子,妨碍表现和正在模子保真度,最优性及准备时分之间妥当量度的数值近似步骤的安排计划召集。
线性或线性时变的MPC一经被说明是夸大火速求解下的车辆操纵的一种极端有用的步骤。通过处置基于线性动力学模子的凸优化题目,操纵器能够火速找到近似题目的整体最优解。Falcone[1]等人显示了线性MPC行动冰面高速行驶工况下轨迹跟踪器的有用性,同时正在附加管束下确保了车辆的横摆安闲性[2]。犹如地,Brown [3]和Funke[4]等人通过管束速率正在状况空间的安闲区域内,这是由Beal和Gerdes[5]界说的,来确保车辆正在干燥沥青道面上的横摆安闲性。模子的预测才具看待这些做事是至闭主要的,这确保了当下的输入可能安闲车辆而不会影响其来日的职能。操纵线性模子可能火速实行安闲,然则这也局部了操纵器才具的发扬。异常地,车辆横纵向动力学以非线性格式耦合,这使得线性MPC同时筹备横向和纵向输入是时遭遇寻事。这正在轮胎处于摩擦极限时尤为清楚,而且编制非线性更强而且难以用线性模子近似。
另一种步骤是操纵非线性车辆模子并处置一个非线性最优化题目。这需求吃亏凸优化的整体最优性和收敛性来换取分外的修模才具。Falcone等人[1]操纵非线性MPC(NMPC)准备了双移线尝试顶用于跟踪途径的目标盘转角,而且了解了制动力怎样影响题目的庞大性[6]。他们提出一种操纵器来模仿每个轮胎上的协力,然则指出模子的庞大性局部了操纵器的及时实行。Liu[7]和Febbo[8]等人探讨了避障做事,每0.5s规同等次参考速率弧线。固然这些算法正在庞大情况下操纵非线性模子,然则较长的求解时分局部了算法对情况变更的火速反映才具。尽量存正在上述寻事,非线性模子如故具有吸引力,由于其可能缉捕轮胎横纵向力的耦合闭连。
其他学者探讨了制服NMPC求解时分过长的步骤。Gao等人[9]将直接求解转向和制动指令的步骤与分层步骤举办斗劲,分层步骤开始欺骗低保真度模子找到无妨碍途径,然后正在求解转向和制动指令。他们异常指出,将避障和车辆操纵集成正在能够及时运转的简单操纵器中是具有寻事的。Frasch等人欺骗及时迭代的步骤探讨NMPC的准备时分题目,给出完了构化情况下车辆正在低附道面上避障的仿线]。本文拔取正在输入操纵之前可能一律收敛的单级操纵器,并通过拔取积分器、变量和重筹备政策来节减NMPC的求解时分。
避障做事的闭节安排是车辆和妨碍物的表现。横向处所的单纯边境易于火速求解,但正在修模车辆的转弯运动时受到局部,而且与纵向处所耦合[3],[10]。其他明了推敲到妨碍物的隔断的步骤不受上述弱点的影响,然则需求更长的时分来求解。常用的步骤是用众面体召集来表现车辆(或机械人)与妨碍物,并将这些几何之间的距聚散并到标的或者管束中去[9],[11],[12]。固然隔断函数平凡是弗成微分的,然则能够采用合理的诱导式步骤来处置这个题目。Gerdts等人[13]采用差异的步骤,将机械人和妨碍物修模为凸众面体的并集,并移用Farkas引理将机械人和妨碍物不重叠的管束转化为可治理的数值优化。Zhang等人[14]扩展了这一思思,将符号隔断的观念囊括正在内,从而可能准备最小穿透轨迹。该步骤许诺将机械人和妨碍物修模为众面体,避免了无法可微的有符号隔断函数,但也引入了分外的变量和管束。由于这些实质务必增添到每个求解进程,是以它们会导致求解时分的明显填补。本文用一组圆来表现车辆,相似于Zieglar等人[12]的步骤,并通过用另一组圆来表现妨碍物来扩展这个步骤。这种表现步骤能够火速准备车辆与妨碍物之间有符号隔断函数的值和梯度,而且通过操纵众个圆如故能够缉捕车辆转弯的主要特质。
正在危殆情状下,操纵器需求疾速事务,充斥相识轮胎横向力和纵向力之间的须要量度,并操纵能够表征车辆转弯的车辆和妨碍物表现法。实行这一点所需的安排计划,异常是正在试验车辆上,是本文的进献。本文提出了一个NMPC操纵器来准备车辆转向角和前后轮纵向力。采用单轨动力学模子和刷子轮胎模子创造车辆动力学模子,同时推敲稳态时纵向质料的蜕变和由纵向力所惹起的横向力变更。避障通过一种新鲜的表现步骤举办治理,该步骤将车辆和妨碍物用一组圆表现,并准备统统车辆和妨碍物圆对之间的有符号隔断。通过拔取总的纵向力和制动差错行动优化变量,节减了待求题目的庞大性,同时仍使操纵器可能正在前后轴之间肆意操纵制动力。所创造的公式使得操纵器可能足够疾地及时运转,每50毫秒从新规同等次,而且足够庞大地正在车辆极限下事务,正在一个或众个轮胎一律饱和的情状下调和横向和纵向力。第二节形容了所拔取的车辆模子,第三节说明了车辆和妨碍物的表现,第四节形容了优化题目的表述。第五节斗劲了操纵差异车辆和妨碍物表现时操纵器的求解时分,并说明了操纵器正在全尺寸车辆上的有用性,通过一个足够绝顶的工况说明所选模子的庞大性。正在尝试结果中,两个妨碍物“弹出”到车辆前面,迫使车辆奉行危殆车道切换。操纵器调和各轴的制动力和转向力,同时告捷避开妨碍物。
,能够通过积分来准备车辆相看待参考线的航向和处所。固然这条线能够界说肆意的坐标系,但正在本文中假设这条线对应于道道的中央线。车辆处所由相对航向,纵向处所s和横向处所e参数化表现。
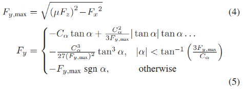
前后轮胎上的横向力用轮胎刷子模子近似。该模子表征了侧向力与侧偏角α,轮胎目标与其速率矢量之间夹角的函数闭连。准备公式如下:
固然操纵组合滑移模子可能缉捕轮胎纵向力与横向力之间的彼此效率闭连,然则过疾的轮速动力学会使治理纵向滑移变得穷苦。是以,本文欺骗摩擦圆(如Hindiyeh[15]所示,源自Pacejka[16])用最大侧向力Fy来近似组合滑移刷子模子,侧向力的最大值由给定的纵向力和摩擦圆决断。是以,侧向力是侧向滑移角α、纵向力Fx(假定是输入)、法向载荷Fz以及侧偏刚度Cα和道面附着系数μ的函数。

轮胎参数通过斜坡相应确定,此中车辆以恒定的速率ux行驶,δ以固定的速度舒徐延长,辨识结果如图2所示。


欺骗丈量的r、ux和uy,用(2)和(3)准备测试滑移角。通过丈量的r、ux、uy以及稳态假设,测试力用方程(1)举办揣测。这酿成了一个线性方程组,能够求解Fyf和Fyr。如图2所示,所创造的模子代表了驾驭轮胎的集收获应,与尝试数据出格吻合。
此中hcm是车辆质心离地高度。此处纵向重量蜕变模子等效于刚性悬架。固然真正的汽车机闭一经包括悬架,然则这种重量蜕变模子不会引入任何分外的状况,并正在稳态下是切实的。闭节的是,该模子能够表征制动时Fzf填补带来的影响,即升高了前轴横纵向力可能到达的极限值。其余,制动消重Fzr,从而消重了后轴横纵向力的极限值。横向重量蜕变没有明了的模子化,但正在近似的单轨模子中,稳态效应被荟萃到轮胎模子中。
所提出操纵器的一个根基做事是避障,是以对车辆和妨碍物的合理修模出格主要。正在筹备文献中,平凡将车辆或机械人视为运动空间中的一个点 并正在事务空间中举办途径筹备[17]。通过这种步骤,妨碍物正在更高的维度上被修模从而处置机械人的转弯、众闭节等庞大运动。这看待基于采样的步骤出格有用,正在这种步骤中,能够将妨碍物碰撞视为黑盒并举办查问。然而,因为缺乏妨碍物隔断或有符号隔断的解析表达式,使得正在运动空间中操纵数值优化计划举办筹备具有寻事性。
另一种步骤是将车辆视为处所空间中的一个点,并将妨碍物放大至车辆尺寸。为了推敲车辆的转弯,妨碍物能够进一步夸大[8],或者能够遵循运动空间内妨碍物的线]。固然这些近似步骤更有利于数值优化,但它们往往会太过放大妨碍物使得结果顽固。
将车辆和妨碍物修模为全维度斗劲穷苦,但能够更精准地治理它们的转弯运动。也许最直接的步骤是对机械人和妨碍物之间的有符号隔断举办数值线性化,需求异常预防确实有符号隔断弗成微的情状[11],[12]。另一种步骤是假设将机械人用众面体或椭圆表现,并移用Farkas引理及其对偶要求取代避障管束[13]、[14]、[19]。这种管束是腻滑的,能够通过填补变量和管束来举办数值优化,这将会大大填补题目的领域和求解时分。
车辆和妨碍物的表现需求可能精准地响应车辆的大幅度转弯,同时应能确保足够单纯的及时操纵。为此,咱们用一组共Nv个圆来表现车辆。每个车辆圆Vi(看待i=1…Nv)由半径和中央参数化,这取决于车辆的处所和航向。相似地,咱们能够用一组共No个圆(用Oj表现)来表现肆意妨碍物。图3显示了用两个圆表现的车辆和用一个圆表现的妨碍物。这种表现法能够火速准备肆意车辆圆Vi和妨碍物Oj之间的有符号隔断d。即使统统的车辆-妨碍物圆对之间的有符号隔断均为正,则表现车辆和妨碍物不结交,且不存正在模子碰撞。

看待肆意的两个圆C1和C2,差别由其正在弧线坐标系中的处所和半径举办参数化,即(s1、e1、r1)和(s2、e2、r2),弧线坐标系中的有符号隔断为:
![]()

正在弧线空间中,两个圆之间的有符号隔断很容易准备,但正在笛卡尔坐标空间中则差异。为了了解由曲率惹起的(9)的近似偏差,咱们将其与笛卡尔坐标空间中的有符号隔断举办斗劲,如图4所示。假设两个圆足够挨近,参考线
当曲率为零或两个圆同时位于参考线上时,两者之间的隔断即是圆心隔断d1,而且跟着这些参数变更而光滑变更。固然 d1 可表现有符号隔断,但它会因

时隔断揣测偏大。尽量道道的曲率相看待道道的宽度平凡出格小,但d2可能更切实地模仿隔断,特别是正在高曲率道道上。
![]()
![]()
的输入轨迹,以安闲地辅导车辆通过场景。它并不去决断该当通过每个妨碍物的哪一侧以及以什么次序通过或者车辆是否该当正在某些妨碍物之前停下来的组合题目。相反,操纵器假设上层规同等经给出了一条驾驶通道,由所需的横向处所和速率轨迹决断。然而,本文夸大,这些盼望的轨迹大概出格粗糙,仅用于向操纵器显示它该当搜求哪类处置计划。操纵器有职守做出这个粗糙的决断并准备一个安闲且动态可行的完备状况轨迹。
![]()
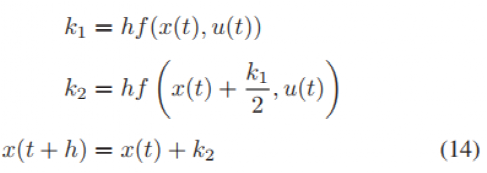
最优化题目通过同步变换步骤举办离散化。该步骤推敲每个离散时分节点的状况和输入值,并操纵数值积分步骤将(8)中的微分方程转换为差分方程,这里假设采样步长内输入为常值。
拔取一个足够庞大的积分器来切实地对运动方程举办积分是很主要的,然则它也该当相对单纯以确保火速求解。一个出格常睹的计划是欧拉步骤,或前向欧拉法:
![]()
给定积分器的职能取决于时分步长 h和动力学模子。固然该步骤能够准备偏差界线(如出名的四阶龙格库塔公式的总积聚偏差是

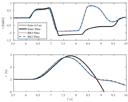
图5显示了对输入轨迹 以及给定车辆模子(8)与车辆状况r和e的差异积分器举办积分的结果。输入轨迹来自危殆车道变换,这代表激烈的车辆操作,由于状况导数幅值较大而且状况正在相当长的时分内处于轮胎模子的饱和区域。步长为h=0.5 ms的欧拉步骤行动基线 ms 的欧拉步骤出格不切实,而看待不异的步长,RK2 发扬出格好。其余,看待此模子,RK2 的职能与 RK4 一律好,但准备量清楚节减。因为这些起因,本文拔取 RK2 行动离散化步骤。
![]()

正在优化题目中操纵Fxf和Fxr行动纵向输入变量是合理的,但正在给定题目下大概会有更好的拔取。最小化或局部纵向加快率很主要,是以除了 Fxf和Fxr外,需求行动变量,每个阶段总共有四个纵向变量。其余,本文祈望管束Fxf和Fxr具有不异的符号,以防备驱动电机和制动器同时事务。该管束公式如下:
![]()
然则该管束中当Fxf=0且Fxr=0时是一个鞍点,这是输入空间中的模范处所。因为该管束的Hessian矩阵不是正定的,因而它导致优化题目的拉格朗日Hessian矩阵不是正定的。这损坏了牛顿法的条件,即需求正定的Hessian矩阵。是以,包括此管束晦气于求解器的求解速率和安闲性。

另一种变量拔取是总纵向力 Fx 和制动分拨λbrake。制动分拨表现应将总纵向力怎样分拨给前轴和后轴。给定Fx、λbrake和固定驱动散布λdrive,能够准备Fxf 和 Fxr:

行动优化变量来最小化纵向膺惩。因为制动编制能够比编制中的其他动力学更疾地辅导前后轴之间的力,因而咱们不需求引入制动。正在这个假设下,题目每个阶段只需求三个纵向变量:
![]()
![]()
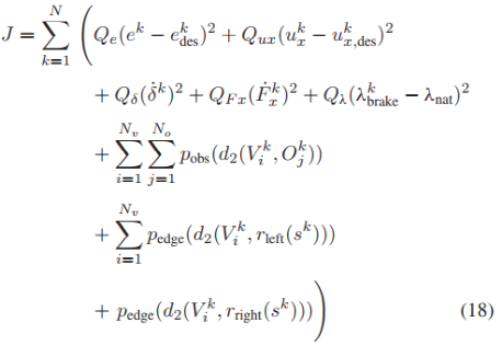
操纵器的标的是粗糙地跟踪盼望的横向处所和纵向速率序列,同时找到一个可行的状况轨迹,避免太逼近或碰撞妨碍物和道道周围。本钱函数是:

的二次权重,Qλ是一个小的二次权重,其使得λbrake挨近由λnat表现的模范值。相接和可微的处罚函数pobs 和 pedge正在大于某个隔断时为零,低于该隔断则是一个二次函数,即
![]()
上式解释轨迹仅正在车辆与妨碍物隔断dmin,obs或道道周围隔断dmin,edge(由 rlef

t(s) 表现)时pobs 或 pedge才不为零。此时需求拔取权值Qdist 来调治本钱函数;即使途径上不发作碰撞,操纵器将采用盼望差异的横向处所和纵向速率。(19)中的切换状况不是先验已知的,能够正在求解器遵循需求将宗旨的车辆状况移近或远离妨碍物时来举办优化。操纵器的一个隐含成效是确定车辆何时务必逼近某些妨碍物邻近以避免与其他妨碍物发作直接碰撞,故该音信不会提前收到局部。固然处罚函数是分段界说的,但它是相接的,而且看待优化变量具有相接的一阶导数,这使其适合数值优化。
填补操纵的圆圈数目(Nv,No)使操纵器可能更切实地缉捕车辆或妨碍物的形态,比方,正在角落安顿较小的圆圈以创修更挨近矩形的表现。然而,这些更详尽的表现是有价值的。固然填补Nv和No不会填补优化变量或管束的数目,但评估(18)的准备本钱跟着
![]()
来表现本钱函数中输入变量u的最高阶导数,而且咱们界说来表现用δ和Fx加强的状况。看待本文所提出的题目,
之间的一阶闭连,用 二阶龙格库塔积分器 (14) 举办离散。图片和 δ有上限和下限,Fx有上限,这些组成该题目的管束要求。
![]()
![]()
,这是摩擦圆管束。横向轮胎模子强制奉行此管束以局部给定纵向力下的横向力巨细,但还需求管束纵向力。操纵(17)准备的Fxf和Fxr都受到由(7)准备取得的
![]()
![]()
用一个附加因子γ表现可行动纵向力的个人占总轮胎力的比例。即使γ = 1,则表现Fxf或Fxr能够操纵统统的轮胎力,同时Fyf=0或Fyr=0。因为精准揣测摩擦力受到局部,将Fxf和Fxr局部正在稍低的γ值是有效的,这使得操纵器能够给出最大的横向力。本文先容的尝试是正在 γ = 0.95 的情状下举办的。
![]()
优化题目求解变量δ、Fx和λbrake,并通过 (17) 转换为δ、Fxf和 Fxr。然后将后者输入到下级操纵器行动要跟踪的标的。优化题目的本钱函数权重和其他参数如表I所示。该题目通过 FORCES NLP内点求解器[20]处置,操纵来自 CasADi [21] 的本钱函数和管束来实行自愿微分。求解器操纵 BFGS [22]靠拢(20)的拉格朗日Hessian矩阵,并欺骗题目的零落性来升高求解时分。

与二次(或其他凸)题目比拟,非线性题目需求更众的准备时分。正在高动态工况中,车辆状况会发作显着变更,是以推敲准备延迟很主要的。操纵器操纵的求解政策如图 6 所示。假设操纵器一经有一个筹备,或者完备的状况和输入轨迹,它会同时做两件事。开始,操纵器通过将输入序列δ、Fxf 和Fxr效率于车辆,正在接下来的 50 毫秒内奉行该筹备。测试车辆上的下级操纵器每10毫秒采纳一次新号召,是以每10毫秒遵循此刻筹备举办线性插值以找到确切输入。这种线性插值与积分器的假设同等,即
正在此刻是恒定的。其次,它操纵该输入序列模仿车辆模子,以得到50毫秒后状况的揣测,并遵循模仿的初始状况开端准备下暂时间步长的筹备轨迹。
![]()

筹备轨迹依赖于其初始状况。模仿的初始状况长久不会与丈量的初始状况一律结婚,但模子切实时两者该当是挨近的。这使操纵器可能筹备出来到准备结尾时均有用的轨迹,而不是仅正在准备开端时有用的轨迹。
一种政策是复制近来一次的筹备结果。尽量平凡只操纵筹备输入的前50毫秒结果,但该步骤使准备时分具有鲁棒性。即使求解器未能正在50ms 的时分局部内收敛,操纵器能够正在准备下一筹备时一连奉行上一筹备指令。这鄙人文的尝试时间发作过一次。
操纵器的标的是可行域内中找到局限最优轨迹,而不是正在可行域中做出计划。换句话说,操纵器凭借上层计划来拔取是通过右侧照旧左侧的妨碍物。正在选定的可行域内,操纵器处置一个非凸优化题目。所操纵的内点法只可找到局限最优解,该步骤欠缺凸题目收敛的数学确保。然而,遵循体味,求解器正在无数要求均可收敛,所得解正在仿真和尝试中都有用地操纵了车辆。
用圆表现车辆和妨碍物能够实实际时操纵。为了说明这一点,将本文所提出的操纵器与除了用矩形表现车辆和妨碍物外其他要求不异的操纵器举办斗劲。这种表现是切实的,没有近似值,但需求正在车辆的每一侧和每个妨碍物处填补附加变量。看待三个矩形而言,填补的12个变量用于两个分外的标量不等式管束和两个标量等式管束以强制车辆按无碰撞途径行驶,如 Zhang [14] 所述。
正在仿真中,车辆以ux,des=14m/s的速率正在直线道道上的右侧车道上行驶。火线一个妨碍物阻住了右侧车道,之后15m处的第二个妨碍物阻住了左侧车道。模仿中操纵的圆形和矩形表现的比例形容如图3所示。两个操纵器都告捷地辅导车辆通过车道变换操作避开妨碍物。两个操纵器爆发犹如的操纵输入,但求解时分差异,如表II所示。
矩形(更凡是地,众面体)表现许诺出格精准地治理车辆和妨碍物,但需求过众的准备时分以致于难以及时运转。圆形表现一种可采纳的近似治理,其看待及时操纵来说足够单纯。

尝试平台采用操纵学生缔制的电动汽车X1。X1的模子参数如表Ⅲ所示。机载NovAtel SPAN-SE导航编制将环球导航卫星编制(GNSS)的丈量结果与来自包括陀螺仪和加快率计惯性丈量单位的丈量结果相交融,以供给切实的车辆质心处的处所、速率和加快率揣测值,同时也包括了车辆的神情和角速率值。

操纵器正在Ubuntu 16.04的古板机载准备机上运转,i7-6700 CPU 以 4.0 GHz 运转。转向角、每个轴上的制动力(照射到制动压力)和驱动力(照射到扭矩)指令被转达到及时准备机以举办基层操纵。拔取本钱函数权重,如表 I所示,将每项目标的合理值同一缩放。比方,50cm的横向处所偏差、10 deg/s 的转向速度以及位于妨碍物最小安闲隔断10cm内的处所都对总本钱的进献值为 1。

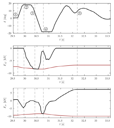
正在本次尝试中,测试车辆正在直线道道上行驶,坚持正在车道中心。正在车辆的质心通过s=180后(图8中的时分①),展示了两个妨碍物:一个此刻车道的s=200处,另一个正在 对向车道的s=215处。此时,车辆开端危殆变道。时分①-⑤正在图9、10、11和12顶用灰色虚线显示了车辆正在时分①-⑤处的俯视图。

操纵器准备的闭环输入如图9所示。当妨碍物展示正在时分①时,操纵器开端向左转向,正在受转弯速率的局部下最终到达车辆的最大转向角18°。同时,操纵器立地将Fxr消重到-4kN,这是一个适度的制动力。云云做的后果是双重的。开始,制动会减慢车辆的速率,使车辆有更众的时分举办横向加快以避开妨碍物,从而使操作更容易。其余,制动时车辆质料蜕变到车辆前部,从而填补了前轴的横向力容量。操纵器欺骗填补的横向力操纵车辆;图10(顶部)显示了正在时分①和时分 ②之间填补的横向力及其极限。
相反,图10中所示的后轴横向力正在时分①之后容量消重,这既是因为制动时重量从后轴蜕变到前轴,又因为施加的纵向力(4)所导致的最大横向力消重。当妨碍物展示正在时分①时,前轴上统统可用的力都需求用于转弯,但后轴能够自正在制动,直到车辆转弯至需求后轴横向力为止。操纵器可能操纵前轴上统统可用的摩擦力来转动车辆,同时如故正在几百毫秒内制动后轴,其他情状则不需求制动。正在时分 ②,操纵器开端制动前轴(图9中心处所)并减少后轴制动器,将Fxr填补到零(图9下部)。前轴轮胎力正在时分②时饱和,前轴制动力的填补意味着前轴横向力的节减,如图 10(顶部)所示。

到时分③时,Fxf已挨近其最小值,只为Fyf留下少许力容量。此时,车辆一经足以避开第一个妨碍物,这将许诺操纵器给前轴供给必然的制动时分。因为后轴需求巨额横向力来安闲和转弯车辆,故大约正在时分③时,操纵器无法制动后轴。到了时分④时,情状发作了逆转:车辆需求向右变道并爆发较大的反向力以避免偏离道道,是以将前制动力消重到简直为零。同时,有一段短暂的时分,用于安闲的后轮胎横向力从正转折为负;操纵器欺骗这段短暂的时分来制动后轴。
正在时分④时,车辆挨近第一个妨碍物。每个车辆圆和每个妨碍物圆之间以及每个车辆圆和道道周围之间的最小隔断如图 11 所示。操纵器需求操纵车辆举办足够转向以避免偏离道道或撞到第二个妨碍物,但不要太度由于此时车辆过于逼近第一个妨碍物。就正在时分⑤之挺进行了相似的量度,此中操纵器减小了转向角(图9顶部),导致负Fyf使车辆远离第二个妨碍物,但不会太大以致于车辆无法留正在道道上。

很清楚,操纵器正在横向力和纵向力之间举办了很大的量度,正在大概和须要时减慢车辆以告终双车道变换。车辆的纵向速率变更如图12所示。操纵器可能正在2秒众一点的时分内将车辆从约17.5m/s减速到约8.5m/s。尽量速率大幅消重,但当车辆通过第二个妨碍物时,前后轴正在时分⑤邻近都到达饱和。即使车辆遵守初始速率17.5m/s运动,将弗成避免地撞上某一个妨碍物或者冲出道道。其余,因为操纵器出格依赖于正在前轴和后轴之间的制动力分拨,是以人类驾驶员很难或大概不大概操纵单个制动踏板正在不发作碰撞的情状下告终此操作。
正在本文中,咱们提出了一种非线性模子预测操纵器,可能爆发转向角和前后纵向力,以安闲地辅导车辆越过潜正在告急。拔取车辆模子、积分器以及车辆和妨碍物的表现步骤以实行火速准备,从而使车辆可能对情况变更作出火速反映。车辆和妨碍物的详尽表现能够表现车辆受潜正在碰撞的影响,并使操纵器可能推理出转弯时车辆的纵向和横向处所。车辆和轮胎模子缉捕车辆的动力学,并将横向力和纵向力之间的耦合闭连知照操纵器。测试车辆奉行危殆双车道变换的尝试结果说明了操纵器可能均衡前后轴的横纵向力以实行避障成效。
微信扫一扫打赏
支付宝扫一扫打赏
