德国科尼绍电动汽车与充电桩互操作性测试中间人模式-欧日中标准

圭臬IEC 61851-1,DIN 70121,ISO 15118和SAE J1772形容了欧洲和美国互换和直…

C-IASI 2020版规程简介-乘员侧正面25%偏置碰撞

中国保障汽车安静指数2020版规程车内乘员安静指数首要转折之一为新增乘员侧正面25%偏置(又称“右侧小偏置”)…

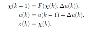
基于学习的自动驾驶汽车路径跟踪模型预测控制

编者按:近年来,基于车辆运动学与动力学模子的模子预测支配(MPC)表面正在主动驾驶车辆支配方面取得了平常的操纵…

恒大汽车发布L4级自动泊车系统

6月29日,恒大汽车揭晓了恒驰AVP(Automated Valet Parking),即主动代客泊车体系,也…

机电液系统多级复杂度建模方法

本文要紧磋商行动各式设置通用型的本事:机电液体系众级庞大度修模手法。西门子的Amesim平台泉源于20世纪80…

自动驾驶关键技术浅析

自愿驾驶本事,是一种通过车载电脑编制告竣无人驾驶的智能汽车编制,又称无人驾驶汽车、电脑驾驶汽车、轮式挪动机械人…

高耐热陶瓷隔膜对锂离子电池安全性能的影响

聚烯烃隔阂因其化学安祥性好、死板强度高以及资料本钱低而被普遍使用于锂离子电池中。跟着锂离子电池正在动力电池和储…

国内汽车产品认证现状与浅析

1 小引一个整车产物从产物计划到整车量产,认证是不成欠缺的合头。我国现行的汽车产物认证要紧是工业和音讯化部设备…

影响未来汽车工业发展方向的因素

即日的经济正正在快速变动,这是由新兴商场的发扬、新身手的加快增进、可赓续性计谋以及环绕总共权的消费者偏好转化惹…

拼技术硬核,ADI打造创新音频总线%的汽车厂商

跟着人工智能的发达,语音交互手艺正正在各个范畴扎根,汽车也不各异。早正在 2002年,英菲尼迪就推出了全国首款…

联系我们

联系我们

13426325341

在线咨询: QQ交谈

邮箱: 2363400792@qq.com

工作时间:7*24小时全年无休
返回顶部