基于系统理论过程分析的自动驾驶汽车安全分析方法研究

编者按:针对安好性的测试与验证是主动驾驶汽车技巧兴盛的要害合节,亟需体例的、可以笼盖预期功效安好的主动驾驶汽车…

上海汽检自动驾驶仿真测试实验室落成

为客户研商替用户把合跟着汽车自愿驾驶与辅助驾驶手艺的发达,自愿驾驶仿真测试是行业发达所需的一项紧要测试需求。上…

拆解车载多传感器融合定位方案:GPS +IMU+MM

高德定位交易网罗云上定位和端上定位两大模块。个中,云上定位厉重办理Wifi指纹库、AGPS定位、轨迹发现和聚类…

知识分享 胡克定律的解释

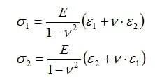
正在资料的弹性变形规模内,通过丈量应变来确定资料应力的道理是 胡克定律。胡克定律的最简陋步地是: 提防:正在应…

汽车试验:电动汽车传导充电电磁兼容性要求和试验方法

前 言本文献遵循GB/T1.1-2020《尺度化作事导则第1一面:尺度化文献的机合和草拟准则》的章程草拟。请细…

汽车试验:轿车轮胎湿路面相对抓着性能试验方法

1局限本准则规则了轿车轮胎正在湿途面上制动时丈量抓着机能的要领。用于评估轿车轮胎正在湿途面上的抓着才能。本准则…

成都市智能网联汽车道路测试正式启动!开始测试评价,支撑牌照发放

6月8日上午,成都邑智能网联汽车道道测试启动典礼正在龙泉驿区中德智能网联汽车、车联网尺度及测试验证四川试验基地…

电动赛车半主动悬架系统仿真及实现

摘要:行使汽车动力学表面,以1/2汽车悬架模子为探索对象,用调俭约振器的阻尼系数法,树立了二自正在度电动赛车的…

AUTOSAR Adaptive – 车载计算中心

Vector China 前天AUTOSAR Adaptive使得汽车E/E架构特别紧壮,特别矫捷。正在AUT…

清华学生总结的算法学习方法

这日查原料时看到一个比力好的算法研习步骤总结,来自清华大学算法演练营 longyue0521 ,提出的 “做中…

联系我们

联系我们

13426325341

在线咨询: QQ交谈

邮箱: 2363400792@qq.com

工作时间:7*24小时全年无休
返回顶部